名诗精选
首页
智慧哈德利6O7Z
渔夫姜尚
猫精大叔
陈萍谈观点讲故事
蛮牛户外电子设备
医患家
首页
›
建哥001
›
2007年全国统一高考数学试卷理科 (1992全国统一高考数学试卷)
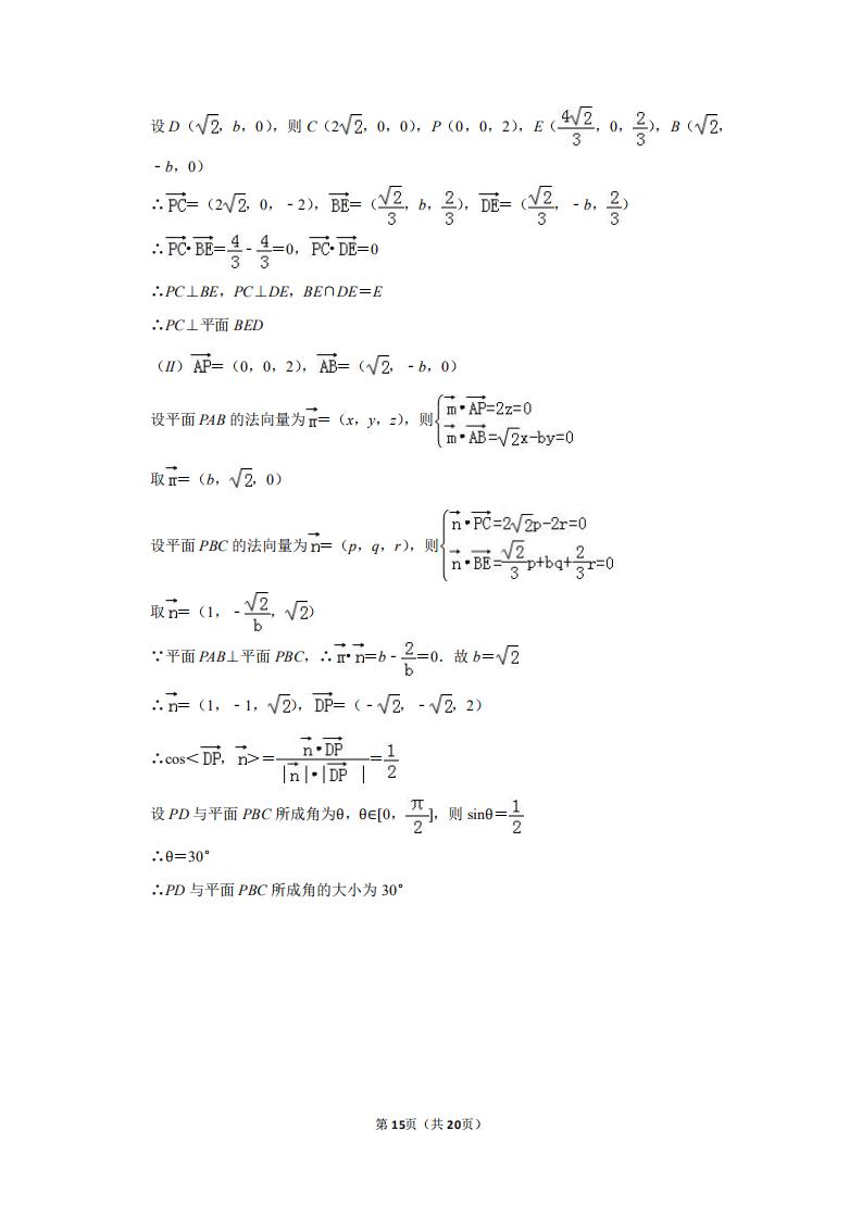
2007年全国统一高考数学试卷理科 (1992全国统一高考数学试卷)
🏷️
建哥001
✍️ 十余年高中数学教学,多年高三毕业班班主任教学体验。
📅 2026-04-25 07:24:07