
准备好拜倒在
本女皇的裙下了吗?
今天,超模君来讲一个被模友们反复提起、墙裂要求科普的学科——数论。


说起数论,这是一个很神奇的学科——因为它的内涵会因不同的人而变得简单或复杂。
针对小学生而言,数论就是整数、小数、分数和加减乘除,理解起来不费吹灰之力。
针对数学大家们而言,数论却是诸如费马定理、哥德巴赫猜想、黎曼猜想等复杂而神秘的问题。一个不小心,到死也不知道答案。


那么,数论究竟是如何发展起来的呢?别着急,拿好小本本,待超模君给大家一一道来!

数论的起源,要追溯到古希腊时期。那时人们在拥有“数”的概念之后,自然而然地就会接触到一些“数”的性质。而第一个研究这些“数”的性质的学者,是古希腊一位著名的哲学家——毕达哥拉斯。

毕达哥拉斯:生得早就是好,什么事情都先讲我
毕达哥拉斯和他的学派秉承着“万物皆数”的哲学思想,为了研究眼前的世界,他们精力都放到了对正 整数的研究上。(关注,毕达哥拉斯所指的“数”,只限于正整数)
他们将正整数分为奇数和偶数,研究了奇偶数之间四则运算的规律,还提出了“亲和数”、“完全数”等概念,并给出了“220”和“284”这对亲和数。
所谓的“亲和数”,是指一对正整数,它们各自的全部约数之和(本身除外)与对方相等。毕达哥拉斯曾说:“朋友是你灵魂的倩影,要像220与284一样亲密。”
至于“完全数”,则是指一个正整数,它的全部约数之和(本身除外)等于它本身。第一个完全数是6,第二个完全数是28,第三个完全数是496。

但是毕达哥拉斯对正整数的研究,还出于占卜等宗教活动的需要,因此具有较为浓厚的宗教神秘色彩,没有严格的概念定义和数学论证——不过这个缺点,在后人的著作中得到了弥补。
欧几里得是毕达哥拉斯之后,把对正整数的研究继续往前推进的古希腊学者。

欧几里得:结果烂摊子还是要我来收拾……

在自己的著作《几何原本》中,欧几里得首次给出了因数、倍数、素数、互素等基本概念的精确定义,并对所得到的结论进行了详细的证明,从而使数论的研究严密化。
《几何原本》中,欧几里得提出了一些很重要的量化定理,比如说“完全数定理”:
如果2^n-1是素数,那么2^(n-1)·(2^n-1)是完全数。
后来的数学家欧拉证明了这个定理,并且据此给出了所有的偶完全数。

当然,欧几里得对数论的贡献并不止使数论的研究严密化,还有发现素数在整数理论中的重要价值和基础地位。他不仅证明了关于自然数和素数之间的积性关系,还运用归谬法证明了素数个数的无穷性,提出了计算最大公约数的算法——辗转相除法。
辗转相除法:设两数为a、b(a≥b),求a和b最大公约数 (a,b)的步骤如下:
(1)用a除以b(a≥b),得 a/b=q……r1 。
(2)若 r1=0,则(a,b)=b;
(3)若 r1不等于0,则再用b除以 r1,:b/r1=q……r2。
(4)若 r2=0,则 (a,b)=r1;若 r2不等于0,则继续用 r1除以 r2,......,如此下去,直到能整除为止。其最后一个余数为0的除数即为 (a,b) 的最大公约数。
欧几里得的研究,形成了初等数论的雏形,同时也提出了一个贯穿初等数论的命题:素数的普遍公式——同时,这个命题也直接催生了解析数论。

现在,让我们的目光继续跟着时间来走吧。在欧几里得之后,另一位数学家丢番图,为初等数论开拓了一片新领域——不定方程问题。

所谓不定方程,是指未知数的个数多于方程个数,且未知数受到某些限制(如要求是有理数、整数或正整数等等)的方程或方程组。丢番图将自己的研究写成了一本书——《算术》,而这本书也开启了中世纪的初等数论研究。

值得一提的是,在丢番图提出不定方程问题的同时期,中国也挖掘了数论的另一个领域——同余理论。《孙子算经》里面记载的“物不知数”问题,就涉及到了同余理论的研究。而宋朝秦九韶所提出的“大衍求一术”,则是比后来的高斯早了几百年,提出了具体且完备的求一次同余式组的方法。
所以说,中国古代在数论的研究上,也是光辉一时啊。

好了,让我们的视线再回到欧洲。在丢番图之后,初等数论研究的大旗,就传到了一位“业余”的数学家——费马的手上。(怎么又是您老人家……)

费马:真是不好意思,兴趣爱好广泛就是这样的
费马针对初等数论的研究兼有欧几里得和丢番图的影子。他一生提出了形形色色的定(cai)理(xiang),最著名的莫过于“费马大小定理”:
费马小定理:如果p是素数,a与p互素,那么a^p-a可以被p整除。
费马大定理:方程x^n+y^n=z^n针对任意大于2的自然数n无整数解。
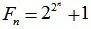
这两个定理皆是在费马阅读丢番图的《算术》时所提出的,尤其是费马大定理,基本上延续了丢番图从不定方程来发展数论的思想。但是费马的其他猜想,却也有欧几里得的影子,如他给出的“费马数”(一种“素数的普遍公式”):

与欧几里得对“完全数定理”的描述极为相似。可以说,初等数论在费马手里,隐隐表现出一种成为一个体系的趋势。

但遗憾的是,这种趋势并未成为现实。费马之后的欧拉,尽管*翻推**了“费马数”的结论(“费马数”即为素数的普遍公式),证明了费马小定理的正确性,并在《代数指南》中使用“无限降落法”,使之成为数论研究中很重要的方法技巧之一,却依旧未能将众多理论统一起来,使初等数论成为一个完备的理论体系。

在18世纪快要结束的时候,数学家们发现,初等数论的研究似乎已经走到了尽头:整数数域的性质已经被研究得差不多了,接下来该怎么办?
一位天才的出现,让数论的研究从死胡同中走了出来,他就是德国的数学王子——高斯。

高斯:终于轮到我出场了
而让高斯带领数论走出“死胡同”的,是他针对“二次互反律”的研究。
二次互反律,是一个用于判别二次剩余,即二次同余方程之整数解的存在性的定律。
高斯非常欣赏这个定律,他一生中至少给这个定律作了8种完全不同的证明,并且试图将它推广到三次和四次互反律。
但是经过研究后,高斯发现,如果要使三次和四次的剩余理论和二次剩余理论那样简洁优美,里面所涉及到的数就必须超出整数的范围,引进复整数(即形如a+bi,其中a、b均为整数的复数)。
经过一番思考与研究之后,高斯决定将复整数引入到数论的研究当中,并且惊奇地发现,一些初等数论里面的定理,在复整数中依旧成立。如在初等数论中,每一个整数都能够唯一地分解为素因子的乘积,这个定理依旧在复整数中成立。
如此一来,高斯打碎了初等数论的困境,将数论带到了一个更广阔的天地——复整数中来。

在高斯之后,库默尔和戴德金将高斯的研究成果成功地推广为一个全新的数论——代数数论。

库默尔

戴德金
在代数数论中,研究的对象从正整数变成了代数整数。关于一个数是不是代数整数,代数数论是这样定义的:
如果α是一个有理数多项式:

的根,则称α为一个代数数。若P(x)的系数都是整数,则称α为一个代数整数。
除去代数整数,代数数论的研究对象还有代数数域。
关于代数数论是如何具体研究的,超模君就不展开讲了,不过模友们需要了解的一点是:直到1898年,德国数学家希尔伯特在对各代数数域的性质加以系统总结和发展后,前后经过了百多年的时光,经典代数数论才真正定型。
相比起初等数论,代数数论无疑涵盖更广,而且系统性更强,这是代数数论工作者们最值得自豪和被称赞的地方。
如果说代数数论是数论 广度的一个拓展的话,那么解析数论可以说是针对数论研究方法的一次革新了。
解析数论的源头,可以上溯到欧拉。

欧拉:终于可以露脸了
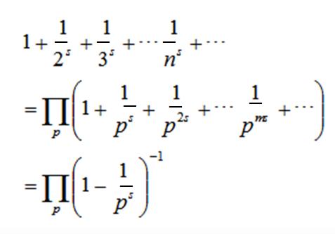
早在1737年的时候,欧拉在研究无穷级数和无穷乘积的收敛性时,发现针对大于1的实数s,有等式:

其中无穷乘积中p是所有素数,这个等式揭示了素数p和自然数n之间的积性关系,也就是欧几里得所曾经证明过的,而且如果令s=1,则可以得出素数是无限多个的结论。这是数论第一次与解析情势相关联起来的例子。

在欧拉之后,狄利克雷也做出了相类似的成果。他运用类似的方法,构建了一批新函数L,从它们的解析特性中,得到了这样的结果:若l与k为互素的正整数,则算术级数l,l+k,l+2k……中一定有无限多个素数。
在欧拉和狄利克雷为解析数论打好基础以后,1859年,有一个人发表了一篇文章,正式宣告解析数论的创立。
这个人,就是黎曼。


在这篇论文中,他把欧拉恒等式的右边记作

,并将其看做复变数。他认为,素数的性质可以通过复变函数

来探讨,如素数的分布研究关键是研究复变函数

的零点性质。而现在依旧没有解决的“黎曼猜想”,就是对复变函数

零点性质的一个猜想——

所有的复零点都在直线Re s=1/2上。
黎曼的论文,让解析数论开始了迅猛的发展。1896年,阿达马和瓦莱普桑,根据黎曼的方法与结果,应用整函数理论,成功地证明了素数定理,让解析数论成为了二十世纪最活跃的数论分支之一。
整函数,即在整个复平面上处处解析的函数。

解析数论在中国的发展也是极为迅猛。从最早的杨武之先生,到后来的华罗庚先生,王元先生以及陈景润先生,都在解析数论上有非常卓越的贡献。单讲陈景润先生,他针对{1,2}的证明,就是运用解析数论的方法来完成的,是目前世界上最好的证明结果。
解析数论的创立,让很多初等数论中很难证明的定理变得简单,同时可以提出更多新的数论问题,让数论这门学科的生命力得以延续。
好了,这就是有关数论历史的大体轮廓了。不得不说,想在短短的一篇推送里塞下整个数论的历史,简直就是痴心妄想……(然而还是做到……了?)
不过数论本身还是很精彩的,套用一句高斯的话:“ 如果说数学是科学的女皇,那么数论就是数学中的女皇”。大家不妨花点心思,来领略一下数论女皇的绝美身姿吧!