MIC是电子类产品尤其是手机上的常用元器件,虽不起眼,但却很重要!

1、简介
手机的麦克大多为驻极体的microphone,它是通过人声在空气中传播,引起薄膜电容器震动,使电容变化,从而导致电压变化,实现声电转换的器件。由于其体积小、性能好、价格便宜而广泛应用在电子器件上。我们可以粗糙的把驻极体mic视为一个场效应管。
MIC电路作为电子产品中重要的声音信号,也需要格外重视。下图为典型的MIC电路。

2、电路分析 作为声音信号,MIC电路最重要的就是尽可能的减少其他信号的干扰,达到主信号的纯粹输入和输出。
上图看到,MIC电路采用差分走线方式。这种走线可以规避掉所有引入信号中的共模干扰。差分信号是成对出现的信号,大小相等方向相反。由MIC_BIAS电源提供直流偏置电压,一般为1.8V-2V。直流分量从MIC_BIAS出来经过电阻到达MIC再经由电阻接地。MIC的偏置电流一般要求0.5MA,可以根据电流选取电阻。如下图:

- R0603、R0605、C0605构成直流分量的RC差分低通滤波器,把直流偏置电压上的抖动和受到的干扰滤除掉。
- C0601、C0602 为隔直电容,将MIC主电路上边的直流分量去除,交流通过耦合进入下一级放大器。
- R0601、R0601为电阻,为了消除高频干扰。虽然电阻可以消除高频干扰,也同样削弱了 MIC 信号的能量,使得声音信号变弱,电阻大小视情况而定。也有设计上把这里的电阻改成磁珠。
- C0606、C0607 消除共模干扰,C0608 消除差模干扰。C0603、C0604 为预留位置,可以贴电容滤出信号,也可以贴 TVS管放雷击。
- 由于C0603、C0604、C0606、C0607容值小,因此不会对音频电路主信号产生影响。
想知道更多关于MIC电路的设计方法吗?那就建议打开*今条头日**app,在首页顶部输入“MIC电路设计” ,就可以了解更多MIC电路设计方法,可以学到更多电路设计方面的干货知识哦。


3、设计思路 3.1 为什么要用差分电路?主电路很简单,为什么额外器件这么多? 身为音频信号线,最主要的就是一定不能受到干扰,干扰会串进发生装置,产生各种杂音,影响用户体验。因此设计时采用抗干扰能力极强的差分电路。相同的干扰同时作用在差分线对上,就可以把干扰抵消掉。
3.2 如何滤除TDD NOISE?
我们知道,TDD NOISE是217HZ的信号,这种信号已经到了人耳可以听到的范围,是不能被滤走的。为什么?因为你滤除了TDD NOISE的同时,声音信号中也有大量的217HZ的信号,如果被滤除,就会出现声音信号的缺失。电路是分辨不出来噪声和信号的区别的,只是滤除那个频点附近的所有信号。因此,有人说直接用电容滤出217Hz信号的说法行不通。
那么我们对TDD NOISE就束手无策了吗?当然不是。TDD NOISE的起因,是因为850MHZ/900MHZ的GSM burst脉冲引起的。因为这个脉冲的频率是217Hz, 因此才引入该噪声。画个简图:

其实这个图还是有很多不妥的地方,经不起深究,但大概意思是对的。我们看到,引入217Hz噪声的其实是射频850MHz的微波信号,这个低频的噪音信号我们虽然不能滤掉。但我们可以从源端消除这个射频信号。如果没有这个射频信号,就不会产生低频噪声了。
因此,我们解决TDD NOISE不是针对217Hz这个频点做的滤波,而是针对850MHz做的。这也就是为什么这么小的电容就可以滤出低频声音信号的原因。
3.3 为什么用33PF电容滤除?
33PF是并在音频主通路里,相当于把噪声引入地回路,而使主干路保持信号纯净,也就是说,下边到地的通路是要滤出噪声的。如下图:

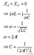
我们知道,电容的等效电路是由一个寄生电感、一个损耗电阻和电容本身组成的,如下图。当电路频率较低时候,主要显现容性,电感特性表现不明显。当随着电路频率升高,直到f0时,电容就会表现出纯阻性,即这时候的电容,其实已经变成了纯阻性的电阻,此时回路阻抗最小,为Z0;当频率再升高,超过f0时,则会表现出感性。也就是说,一个电容当回路频率足够高的时候,就变成了一个电感。我们把f0这个频率,叫做电容的自谐振频率。

自谐振频率的意义,是当频率达到这个频点时,路径上的阻抗最小,即该频率的信号会倾向于走这条支路。因此我们就可以用f0这个指标来滤波。
当达到自谐振频率点的时候,只成阻性,因此感抗和容抗相等,即有如下推导公式:

我们现在要滤的波为850MHz,因此f=850MHz,0201/0402电容的寄生电感通常为0.1nH, 具体可以根据规格书自己查,但都相差不大。带入上式计算,最后得出 C=35.2pF。
如果是900MHz的,C=31.25pF,所以我们选取通用的型号——33pF。根据具体环境,还可以适当做调整,不过也都是围绕这个容值上下浮动的。只有知道了原理,才能更好的去调试电路,硬件就要理论实践两手抓,才能让项目做的更加出色。
4、走线
这种音频模拟信号,尤其还是小信号,极易受到干扰。 1> 走线能短尽量短。如果麦克就在下一级放大器附近,预留的很多器件都可以省略了。
2> 360度无死角包地。
3> 滤波电容单点接地。 4> 远离射频PA、开关电源、时钟信号。
5、总结
MIC电路虽然看上去容易,但说句实话要想做到完全去除干扰,还是要多做防护,多积累经验。
以上内容为公众号(硬件女工程师的日常)原创作品,版权归作者所有,本头条号已获作者授权发布。
欢迎关注工程师小何,如果您觉得本文有点小用,可以点击右上角“…”扩散到朋友圈~~~