
直观理解虚数
虚数的概念也曾困扰着我,这些概念看起来太过平常,不求甚解的人可能会觉得这都是数学家的事,或者会对着自己一脸好奇的孩子说“等你长大了就懂了”,许多孩子童年的求知欲受挫可能都是来自于家长的这一句话看似安慰的话。所以,如果不主动去了解,不仅自己会错过很多醍醐灌顶的机会,还会影响下一代。

在说虚数(Imaginary Numbers)之前,应该先提大家更加熟悉的一个概念,那就是负数(Negative numbers)。负数的概念在小学数学里就有介绍,也就是说,小学生也应该能够自信地进行负数的各种运算,但是在公元18世纪以前,即使是当时欧洲著名的数学家,想让他理解“负数”这个概念也并不容易。
“负数”在当时被认为是荒谬的,就像公元500年之前,毕达哥拉斯学派的弟子希伯索斯(Hippasus)发现无理数(也称为无限不循环小数,如自然常数e,它们都无法写成两个整数之比)一样。

Hippasus
(图片来源:Wikipedia)
公元前5世纪,毕达哥拉斯学派认为“万物皆数”,世界上只有整数和分数(有理数)。而希帕索斯却发现了令人震惊的“无限不循环小数”,即无理数,令该学派感到恐慌,并引发了第一次数学危机。有传言说最终希帕索斯被自己的老师毕达哥拉斯(Pythagoras)判决淹死。也有说法是被学派门人丢进海里淹死。

当人们在直观感受遭遇挑战的时候,人们往往先选择拒绝。

例如,当时的人们可以很直观地理解,如果你家有4条狗,后来送给别人家3条,你还剩下1条,4-3=1。但如果说你家有3条狗,然后送给别人家4条狗,那这是什么狗?!

所以,人们无法直观上理解的计算方法在当时是不能被接受的。以致于,1759年英国数学家Francis Maseres,也会说:“Negative numbers darken the very whole doctrines of the equations.(负数使关于方程的所有学说变得毫无意义,即认为负数没有意义)”。

Francis Maseres
(图片来源:Wikipedia)
即使是欧拉(Leonhard Euler),也为“负数”的概念纠结了好一阵。不过现如今,认为负数“无用”或“不合逻辑”才是真的荒谬。

那为什么人们对负数的理解发生了180°的大转变呢?因为我们发明了一种具有有用属性的理论上的数字,负数并不能很好地用来描述我们看得见、摸得着的可直观感受的事物,但却能很好地描述某种关系。
例如“债务”。人们会在日常支出中记录各种交易信息,如果欠别人50元,你会记录-50,在赚了100元以后,可以直接用100+(-50)=50来计算属于自己的钱,而不需要更多的文字描述,负数已经将这种关系植入其中,既然有这种属性,又有什么理由说它是无用的呢?可见“关系”的重要性~

虚数也有相似的命运,从其名字就可以看出似乎受到过很不公正的待遇。一元二次方程x 2 =1有两个解,x=1和x=-1。那针对方程x 2 =-1呢?在解之前,我们不妨先假设x 的解存在,就像负数一样,奇怪的概念往往其实有其自身的价值。
针对方程x 2 =-1,其实可以写成x·x·1=-1。我们将 “用x乘 ” 看成是一种“变换”,通过两次这种变换,我们最终将1变为-1。但我们不能通过和两个正数的相乘抑或是和两个负数的相乘来实现1到-1的转变,“变换”并不改变问题本身,而只是改变了看待问题的角度。
但是如果这种变换是旋转呢?把数轴从一维扩展到二维,1 到 -1 的转变就是绕着原点旋转 180 度,而这正是在两个“用 x 乘”作用以后的结果。可以想见,x 是不是对 1 的作用就意味着逆时针旋转 90 度。
而这个坐标系构成的平面也称为“复平面(横轴为实数轴(Real Dimension),纵轴为虚数轴(Imaginary Dimension))”,并用字母i 作为该情况下x 的解,用来特指“逆时针旋转90°角”的变换。

(图片来源: betterexplained)
那如果想顺时针旋转90°呢?
答案是:乘以-i 就行了。

(图片来源: betterexplained)
而且如果乘以两次-i,和乘以两次i 一样,得到的也是-1。
如果分别乘以0次、1次、2次、3次、4次、5次i,可以得到:

可以得到以下结论:
-
1=1(毫无疑问)
-
i =i (感觉是句废话)
-
i 2=-1(上面已经说明了原因)
-
i 3=(i·i )·i=-1·i=-i(三次逆时针旋转90°,相当于顺时针旋转90°)
-
i 4=(i·i )·(i·i )=-1·-1=1(四次逆时针旋转90°,回到初始位置,循环结束)
-
i 5= i 4·i=i(开始下一循环,逆时针旋转90°)

(图片来源: betterexplained)
同时,上图也不知不觉地将数从一维的实数域拓展到了二维的复数域,即实数与虚数的组合。或者说:复数=实部+i·虚部。例如,一个复数Z 的实部为1,虚部也为1,则可以得到复数Z =1+i。
复数Z 可以看作是复平面上的点(1,i ),如下图。即沿着实轴方向前进1,沿着虚轴方向再前进1,其在实轴与虚轴上的投影值即为实部与虚部的值,其长度或“模(Modulus)”为该点到原点的距离根号2,该点与原点连线后与实轴正方向的夹角为45°,该角度称为幅角(Argument)。既然又有长度又有方向,因此复数也就可以看做是复平面上的一个矢量。

(图片来源: betterexplained)
为了描述复平面上的任意一点,可以写成更为普遍的情势:

其中,a 和b 分别称为复数Z 的实部和虚部。
而Z 的长度或“模(Modulus)”为Z 点到复平面圆心处的距离:

Z 的幅角为

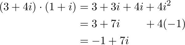
下面进行一个复数的计算实例,需要记住的一点是:两个复数相乘的结果就是:让它们的模长相乘得到最终的模长,让它们的幅角相加得到最终的幅角。
假设我们在一艘帆船上,现在帆船的航向是东北向,且每向东前进3个单位就会向北前进4个单位,如果现在想改变航向,使其沿逆时针方向旋转45°,那新的航向是怎么样的?

(图片来源: betterexplained)
如果放在复平面上,船的位置在圆心处,那么当前的航向可以直接用复数表示,即3+4i。如果想逆时针转45°可以让该复数与1+i 相乘,因为1+i 的幅角正好等于45°。
计算过程为:

画出图就很直观了,新的航向是每向西前进1个单位就会向北前进7个单位。

(图片来源: betterexplained)
幅角为tan-1(7/-1)=98.13°。
关注,如果要保持航速不变的话还需要在上面计算结果的基础上再除以根号2,因为复数1+i 的模为根号2。
既然复数自带旋转属性、有大小、有方向,而正是虚数的存在才将一维的实数域提升或者说扩展到了二维的复数域,那么还有什么理由说虚数很虚呢?

Reference
[1] Hippasus, https://en.wikipedia.org/wiki/Hippasus
[2] Francis Maseres, https://en.wikipedia.org/wiki/Francis_Maseres
[3] A Visual, Intuitive Guide to Imaginary Numbers
https://betterexplained.com/articles/a-visual-intuitive-guide-to-imaginary-numbers/
来源:科研狗
编辑:井上菌
近期热门文章Top10
↓ 点击标题即可查看 ↓
1. 掉入地下一万米
2. 从前有个学生熬夜迟到了,错把困扰数学家的难题当作业做了出来
3. 原*弹子**制造指南
4. 吸猫一时爽,一直吸猫一直爽
5. 为什么长时间不洗头,洗的时候搓不出很多泡沫?| No.145
6. 一个大活人,还能让尿活活憋死???
7. 所以,WiFi 和 4G 到底哪个更耗电?
8. 传纸条被发现,一看竟写着...
9. 铅笔上面那块废柴橡皮为什么容易把纸擦破?
10. 一幅图读懂量子力学(薛定谔的猫)