随着社会经济的发展和居民生活方式的改变, 高血压已成为影响全球居民健康的重大公共卫生问题之一,其不只是表现为血压的升高,还会伤害肾、心、脑,使得肾功能减退、诱发冠心病、脑血栓等,严重的甚至会导致猝死!
近40年来,高血压的发病率直线上升,据《柳叶刀》发表的数据报告显示,1975至到2015年,全球饱受高血压之苦的人数从5.94亿增至11亿,其中大多数人生活在发展中国家。
目前针对高血压的治疗, 强化降压是一种很好治疗方式。然而在临床中,有时会遇到收缩压(SBP)高但舒张压(DBP)低的病人。在用药上,收缩压和舒张压会一起降低,而舒张压的降低是否会增加并发症风险一直是困扰医生的难题。
近期发表在顶级医学杂志《循环》(Ciculation)的一项全球最大型遗传研究发现, 即使舒张压降低到50mmHg以下,也不会增加心脏病发生的风险。
这一发现颠覆了以往的视察性研究结果!

Linear and Nonlinear Mendelian Randomization Analyses of the Association Between Diastolic Blood Pressure and Cardiovascular Events: The J-Curve Revisited
doi: 10.1161/CIRCULATIONAHA.120.049819
以往的视察性研究表明, 过度降低舒张压可能会增加心肌梗死(MI)的风险 (舒张压和心肌梗死之间存在J型关联)。与将舒张压降至70-80mmHg相比, 将舒张压降至60mmHg以下会使收缩压低于130mmHg的患者心血管风险增加46%!

Evaluation of Optimal Diastolic Blood Pressure Range Among Adults With Treated Systolic Blood Pressure Less Than 130 mm Hg. doi:10.1001/jamanetworkopen.2020.37554
为什么这个研究发现与以往的研究结果相反?
在这个研究中,研究员使用的分析方法是孟德尔随机化(MR)分析,以往的研究结果使用的分析方法是视察性分析。
在视察性分析中,因为研究者不可能衡量和解释视察性关联中的每一个可能的混杂因素,所以视察性分析往往受到混杂因素的困扰,有时会导致反向报应关系。
但是孟德尔随机化分析是利用遗传变异,来研究暴露因素和疾病结果的报应关系。遗传变异是在受孕时随机分配的,一般不会受到整个生命中环境因素的影响, 因此与传统的视察性研究相比,孟德尔随机化分析不太容易受到混杂因素和反向报应关系的影响。
在该研究中,该研究团队通过新技术从无偏倚遗传信息出发,分析了全球47407名平均年龄为60岁的高血压患者的基因和生存数据。
首先为了验证以前的视察分析结果,研究人员使用传统的统计方法来测试舒张压和心血管疾病(CVD)之间的关联形状。
随后,研究团队创建舒张压和收缩压的多基因风险评分,并生成舒张压对心血管疾病影响的线性孟德尔随机化估计。
最后,使用新非线性孟德尔随机化方法,评估舒张压和心血管疾病事件之间遗传关系的非线性。
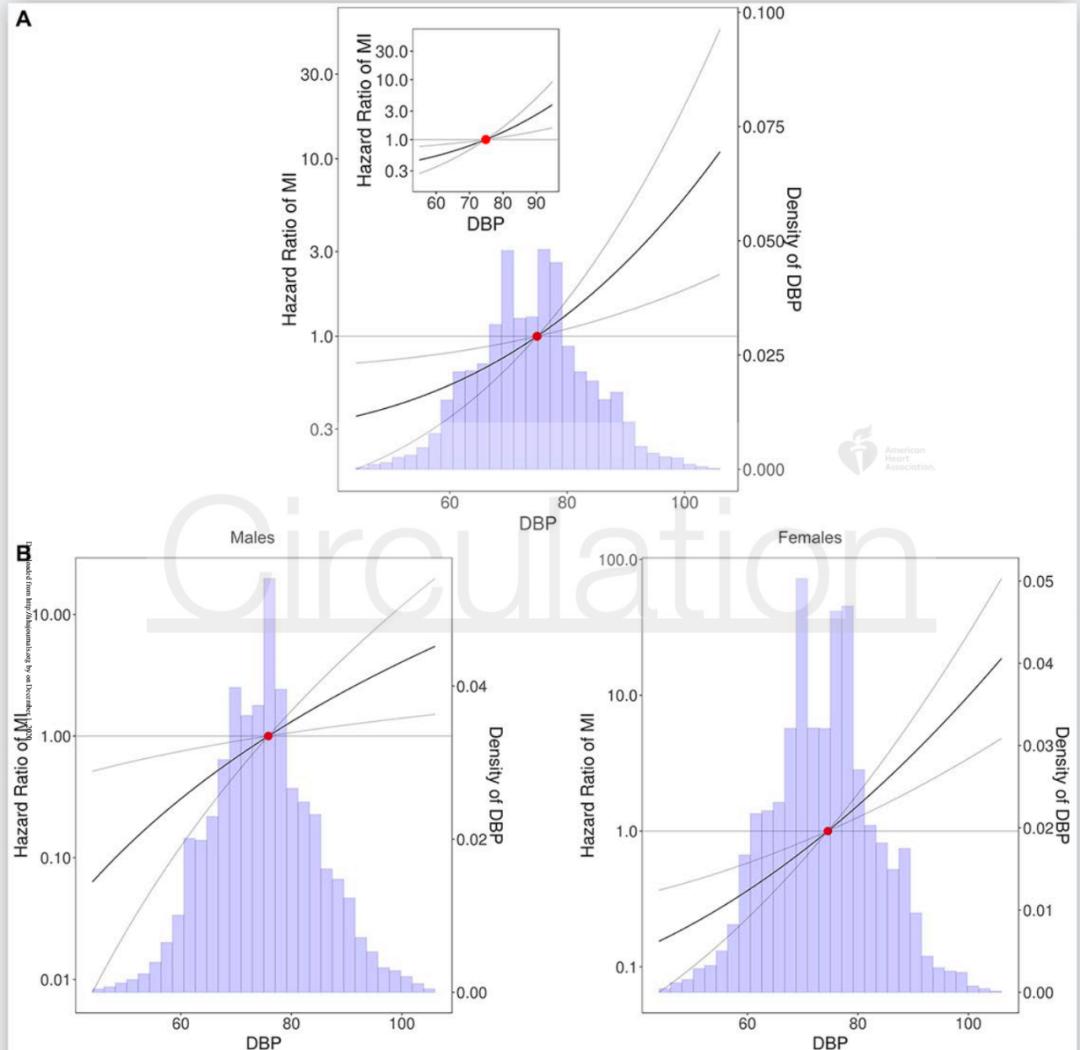
结果显示,在传统视察分析结果中,舒张压和心肌梗死之间的确存在J型关联。作者分析这种关联很可能是未被重视的混杂因素导致的。

DBP和MI之间存在J型关联
但是在对舒张压遗传效应的分析中,没有发现舒张压与心肌梗死之间存在非线性J型或U型关系的证据。反而证实了每单位舒张压降落,心肌梗死风险持续降落,即使在基线舒张压值较低的个体中。
接着,研究员还测试了舒张压与一系列次要结果(冠状动脉疾病、缺血性中风、心力衰竭、致命性冠状动脉疾病和全因死亡率)之间的关系,也没有发现舒张压与这些次要结果之间存在J型关系的证据。
此外,该研究还发现患者的舒张压读数低至50mmHg时,没有遗传证据表明心脏病风险增加。

舒张压与心肌梗死之间的关系

非线性MR的DBP和MI之间形状的敏感性分析
此外,该研究再次证实, 收缩压读数超过120mmHg的数值会增加心脏病和中风的风险。

收缩压与心肌梗死之间的关系
该研究的作者McEvoy教授表示, 此前的研究显示舒张压过低会增加心脏病风险,而我们现在有了基于遗传学的详细研究,指导医生如何治疗那些具有高收缩压值,但舒张压较低的患者。
使医生可以在收缩压值升高时放心进行治疗,而不用担心舒张压降得太低。 同时McEvoy教授建议临床医生,在可能且没有副作用的情况下,将高血压患者的收缩压水平降到100-130mmHg之间,不用担心舒张压值。
该研究将对公共卫生产生重要影响,其结果有望改变临床实践中高血压患者的管理模式。
撰文 | Jessica /Oranhgy
编辑 | Jessica
来源:梅斯医学综合报道
想知道更多医学科普内容,请关注 MedSci梅斯 公众号。