
前言
由于早产儿的免疫系统不成熟,相较于足月婴儿,他们也更容易在出生后被病原体感染,从而患上早发型或迟发型败血症,这种疾病也导致了大量早产儿在出生后一周内死亡。
其中,来自早产儿肠道的共生微生物在全身传播在过去被认为是引发迟发性败血症的重要原因。但二者是如何联系起来的,却没有明确的解释。
直到近日,来自阿拉巴马大学伯明翰分校的研究人员通过建立一种全新的探测模型,正式确定了新生儿菌群失调与迟发性败血症之间的联系; 并为新生儿败血症的预防以及可能的益生菌疗法提供了重要依据。 这一结果也登上了近期的《Nature Medicine》。
研究名称:Preventing dysbiosis of the neonatal mouse intestinal microbiome protects against late-onset sepsis
期刊:Nature Medicine
发表时间:2019年11月
IF:30.641
DOI:10.1038/s41591-019-0640-y
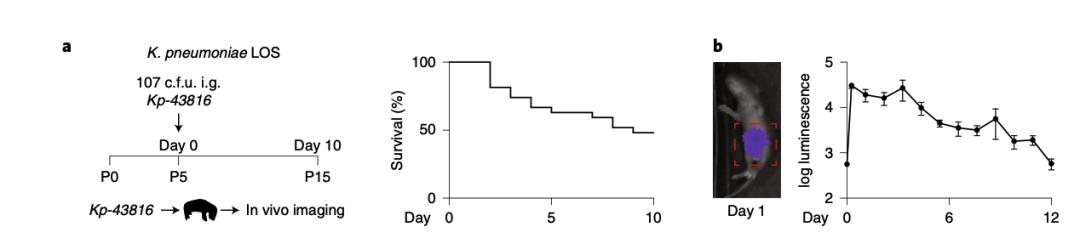
新生幼犬与早产儿: 两种克雷伯氏肺炎菌菌均可向肠道外转移
最初,这一研究模型源于研究人员新生幼犬中视察到的一个现象:这些新生幼犬的肠道在出生后仍在发育,与人类极度早产婴儿的情况非常类似。
于是,研究人员向幼犬的胃中注入了一种携带了生物荧光标记物的克雷伯氏肺炎菌菌株Kp-43816(K. pneumoniae strain,Kp-43816);通过生物荧光标记物,研究人员就可以视察到这些细菌在活体动物肠道中的生长位置,同时,还可以测量到这些微生物是否能够从肠道扩散到身体其他部位。
这种经过标记的“发光细菌”可以近一英寸(约2.5厘米)厚的组织被视察到。

新生儿迟发性败血症模型示意图
很快,他们就有了发现:克雷伯氏肺炎菌Kp-43816定植最多的区域正是发生菌群向肠道外转移最多的地方;但和早产儿一样,并不是所有患有肠道菌群失调的幼犬都会发展成败血症。
随后,他们又将同等剂量、但是无毒的克雷伯氏肺炎菌菌株Kp-39也注入到幼犬的胃中。有趣的是,尽管Kp-39并没有造成幼犬死亡,但是它如Kp-43816一样,从肠道进入了腹腔,感染了肝脏和肠系膜;唯一的区别是Kp-39在一周内就被免疫系统消灭殆尽了。
这意味着,这两株肺炎链球菌都能从肠道外传播,但由于“外形”上的差异,免疫系统对它们的“打击能力”是有区别的。
庆大霉素更易致微生态失调和迟发性败血症发生
进一步研究表明,改变幼犬微生物组,还可直接影响其对微生态平衡(dysbiosis)与迟发性败血症的敏感性——在无菌条件下饲养没有携带微生物的幼犬,它们对Kp-43816相关的迟发性败血症敏感性大大提高了。
值得关注的是,如果在感染克雷伯氏肺炎菌菌株之前,分别在分娩前一天和分娩后几天两个时间段对母犬使用抗生素(庆大霉素和万古霉素);那么幼犬患败血症的几率也是有差异的:接受庆大霉素治疗的患病率更高。
采用无毒的Kp-39重复抗生素实验时,结果也基本类似:母亲服用庆大霉素的幼犬更容易出现微生态失调,肠道中的乳酸菌要少得多。

微生物组改变了新生儿迟发性败血症和新生儿异常的易感性
另外,随着年龄增长,肠腔中的氧水平或也可能影响了肠道组:与极度早产儿相似,年轻幼犬的体内都是以兼性厌氧菌为主;而年龄稍大些的幼犬,则是以专性厌氧菌为主。这一发现,也解释了为什么在极低体重的婴儿中,微生态失调更加普遍。
如何防治? 鼠乳杆菌
那么,乳酸菌是不是在新生儿菌群失调以及迟发性败血症发病的关键呢?
带着这一疑问,研究人员对幼犬进行肠道DNA分析,并锁定了一种名为鼠乳杆菌(L. murinus)的关键乳杆菌——对万古霉素耐药,对庆大霉素敏感。在克雷伯氏肺炎菌感染前,对小鼠预防性给予庆大霉素可显著降低Kp-39的过度生长;补充鼠乳杆菌,可降低新生儿迟发性败血症的发生。
“我们的发现进一步解释了为什么有些益生菌具有保护作用,而有些则没有,这可能会对临床实践产生重要的影响,因为产妇和新生儿的抗生素使用都可能改变新生儿的微生物群系,而极低出生体重的婴儿也可能在没有明确证据支持首选益生菌的情况下被给予益生菌”,本文作者Singer补充道。
此外,该研究还发现有一种大肠杆菌类型可以提供与鼠乳杆菌匹敌甚至更优越的防治效果。