
首先,目前我国缺乏胸腔积液及其疾病负担的相关基础数据,中国良、恶性胸腔积液及其病因的构成也是不清楚,并且,中国胸腔积液诊疗的现状也还没有大样本、多中心的全国性研究。为此,中华医学会呼吸病学分会胸膜与纵隔疾病学组(筹)在两位院士的关怀下、陈荣昌主委的指导下,启动了《中国胸腔积液诊疗现状及疾病负担的多中心真实世界研究》。
研究目的
我们进行这个研究的主要目的是想全面掌握我国住院患者胸腔积液现状及其疾病负担,并系统分析我国住院患者胸腔积液的病因分布;次要目的是要厘清我国胸腔积液的诊断方法和胸腔积液的诊断标准,同时进一步把握我国住院患者胸腔积液的诊治现状。
研究设计
我们纳入了全国60家三级甲等医院,分别是西南区15家中心,西北区9家中心,中南区9家中心,华东区11家中心,华北区12家中心,以及东北区4家中心。

这是一项基于住院患者的全国多中心真实世界研究,由全国城市地区抽取60家三级甲等医院并完成2018年出院胸腔积液患者的病史记录,为非干预性研究,回顾性收集胸腔积液的诊断和治疗信息,入选期12个月。

研究已于2018年12月22日正式启动,截至2019年7月15日,共纳入25316例胸腔积液住院患者信息,其中单病因15218例,多病因5894例,病因不明及空缺4204例。
一、胸腔积液的原发病因研究现状
首先,我想给大家分享我国及国际的胸腔积液原发病因研究现状。
这是来自美国的数据,胸腔积液年发病率:

发病数最多的是心力衰竭、心功能不全导致的胸腔积液,每年约是50万例患者。排名第二的是感染,肺炎旁性胸腔积液伴发的胸腔积液约30万例患者,恶性肿瘤位居第三,每年约20万例。由此可以看出,胸腔积液是一个常见的临床问题。
胸腔积液的病因分布
1、美国2013年的一项研究可以看出,它的样本量数据比较小,是前瞻性单中心临床研究(n=100)。

双侧胸腔积液如果是渗出液,报道中最常见原因是心衰合并恶性肿瘤;如果是漏出液,则是心衰合并有肾功能不全或是低蛋白血症。
2、英国在2017年也有一个前瞻性的单中心的临床研究,一共纳入356例患者。第一位是胸部感染(40.6%),第二位是心力衰竭(24.2%)。

可见在非恶性胸腔积液中,感染和心力衰竭是最常见的病因。
3、来自尼日利亚2017年的回顾性单中心临床研究(n=213),它研究了不同年龄段的胸腔积液病因,发现1~15岁及6~30岁的患者中最常见的是肺炎。但如果患者大于50岁,恶性肿瘤就排在了第一。同时,也进一步研究证实了不同的性别的病因不同。发现在成年男性排名第一的是结核;在成年女性中排名第一的是恶性肿瘤。

胸腔积液病因分布与年龄有关,结核是胸腔积液最常见的病因。
4、2017年,国内伍燕兵医生也在《中国呼吸与危重监护杂志》上发表了一个回顾性单中心临床研究(n=1541):

结果发现细菌感染、恶性肿瘤、心功能不全和结核是最常见病因。
中国胸腔积液的病因分布
此次,全国多中心的15218例胸腔积液中,分析发现排在最前面的几个病因分别是肺炎旁胸腔积液和脓胸、恶性胸腔积液、结核性胸腔积液以及充血性的心力衰竭、低蛋白血症。

从比例上看,排在前三的是肺炎旁胸腔积液(29%)、恶性的胸腔积液(28%)、结核性的胸腔积液(16%)。

我们同时也分析了胸腔积液患者的性别与年龄分布:

单病因胸腔积液住院患者共15218例,其中男性患者占比63%,女性患者占比37%。从年龄段的分布来讲,单病因胸腔积液住院患者最常见发病年龄为61~70岁,其次为71~80岁及51~60岁。
二、渗出液和漏出液鉴别研究进展
遇到一个胸腔积液的患者后,我们首先是要鉴别是渗出液还是漏出液。我们最常用的是Light标准,其中最关键的是两个指标,一个是积液/血清总蛋白,另一个是积液/血清LDH比值(乳酸脱氢酶),这两个指标是我们判断是渗出液还是漏出液的一个重要鉴别标准。

任意满足一条为渗出液,3条都不满足则为漏出液。
那么,我们临床最常用的这个标准,它的敏感性、特异性怎么样呢?
对Light标准的再评价

这是2013年发表的一个研究,结果提示它的敏感性相对而言比较高,能够达到98%,但是特异性仅为73%。特别是存在心衰、肝硬化时,对Light标准的运用应该慎重。
Light标准鉴别渗出液与漏出液的价值
在刚才提到的我们的研究中,依据Light标准肺炎旁胸腔积液和脓胸、恶性胸腔积液、结核性胸腔积液渗出液比例分别为86%,94%和97%;充血性心衰胸腔积液、低蛋白血症胸腔积液患者中14%和34%出现渗出性液……

该结果提示,Light的诊断仍然不是百分之百准确。
N末端脑钠肽前体诊断心源性胸腔积液

通过N末端脑钠肽前体来判断患者有无心衰,同时判断是否为心功能不全导致的胸腔积液是临床常用的方法,本研究提示,NT-pro-BNP诊断心源性胸腔积液的敏感性为和特异性均较高为94%,胸水NT-proBNP诊断价值优于血液proBNP。
BNP对心衰所致胸腔积液的诊断价值


针对我们这组病人,以BNP 367.2pg/ml作为诊断心衰所致胸腔积液的临界值,结果发现其敏感性为83.8%,特异性为63.8%。
三、胸腔积液病因诊断方法研究进展
结核性胸膜炎的诊断-ADA
荟萃分析显示,胸水ADA对诊断结核性胸膜炎的敏感性为92%,特异性为90%。

然而由我们这一组病例来看,发现不同病因胸腔积液ADA值,结核性胸腔积液患者ADA值最高,其次为肺炎旁胸腔积液和脓胸。

我们又进一步的分析了ADA对结核性胸腔积液的诊断价值


发现ADA诊断结核性胸腔积液的最佳临界值为19.6 IU/L,敏感性为80.2%,特异性也只有82.7%:与前面提到的国外一些研究有所差异。
γ干扰素释放试验在结核性胸膜炎的诊断价值


荟萃分析提示,胸水γ干扰素释放试验诊断的敏感性为82%、特异性能够达到87%;


血γ干扰素释放试验诊断结核性胸腔积液的敏感性为80%、特异性达到70%,所以,这也是我们鉴别结核性胸腔积液的重要手段。
T-spot在结核性胸腔积液中的诊断价值
在我们的这一组数据中,我们收集2018年1~12月临床诊断为结核性胸腔积液的患者1059例作为结核组,年龄18~93岁,同期诊断为非结核性胸腔积液患者1440例作为对照组,年龄18~97岁,检测了血中的T-spot。

结果发现,外周血T-spot诊断结核性胸腔积液的敏感度为75.5%,特异度为66.9%。

所以T-spot在我国这一组病人中的大约也只有70%左右。
PPD皮试在不同病因中的阳性率
PPD皮试常常是传统的一种检测手段,其在诊断结核性胸腔积液的价值怎么样?看看胸腔积液单病因前十PPD皮试结果:

结果发现,结核性胸腔积液PPD皮试阳性率只有64%,强阳性率约14%;同时也发现肺炎旁胸腔积液和脓胸PPD皮试阳性率为20%,强阳性率3%;恶性胸腔积液PPD皮试阳性率为22%,强阳性率6%。
抗酸染色和结核分枝杆菌培养的诊断价值
是诊断结核性胸腔积液的一个重要的手段,但是胸水样本涂片和培养诊断结核性胸膜炎敏感性相对较低(特别是涂片抗酸杆菌只有6%),通过胸膜活检组织病例检查则敏感性明显提高。

中国不同地区胸腔积液患者的诊断方式
我们进一步研究了我国胸腔积液的诊断方式,发现胸腔穿刺和胸水检查是最常用的诊断方式,其次为纤维支气管镜。

那么在做「胸膜活检」的时候,是影像引导还是盲法?

925例行胸膜活检的患者中,经彩超引导胸膜活检的比例最高为58%,其次为盲法占29%,经CT引导的胸膜活检占13%。
2018年,国际指南强调了超声的价值
问题:已确诊或怀疑恶性胸腔积液(MPE)患者,应该在超声引导下进行胸腔操作吗?

建议:鉴于超声对人体无害,新指南建议管理MPE所需的胸腔穿刺或胸膜活检等操作在超声引导下进行,该措施并非绝对必要,视医生经验、当地条件以及有无超声设备而定。
胸水细胞学检查诊断恶性胸腔积液
大家都知道,胸水细胞学是诊断恶性胸腔积液的一个重要检测手段,它的敏感性如何?

发表在欧洲呼吸杂志的研究结果提示,胸水细胞学诊断的恶性胸腔积液敏感性与原发肿瘤有关,如果是卵巢癌导致的恶性胸腔积液敏感性能够达到95%,肺腺癌为82%,乳腺癌71%,消化道肿瘤68%。
进一步的研究,诊断恶性胸腔积液,细胞块与胸膜活检哪一个比较好?

结果发现,肺腺癌中,胸水细胞块敏感性为83.3%,胸膜活检敏感性为100%,但是在胸膜间皮瘤中,胸水细胞块敏感性仅为28.6%,胸膜活检敏感性为71.4%。
再进一步研究,液基细胞学+细胞块+CEA的诊断价值怎么样?

结果发现,胸水液基联合细胞块可使诊断敏感性和特异性达98%以上,CEA免疫染色联合细胞块能进一步提高诊断敏感性和特异性。
胸膜疾病诊断技术敏感性和风险的系列研究
提示内科胸腔镜诊断恶性胸膜疾病的敏感性在90%以上,常被认为是诊断胸膜疾病的金标准。

四、胸腔积液治疗现状与进展
结核是我国患者出现胸腔渗出液最常见的病因之一,那么,抗结核治疗在什么时候开始呢?确诊后治疗 or 诊断性治疗?

在本组抗结核治疗的患者中,诊断性抗结核治疗的比例为63%,根据病理学结果为21%,根据病原学结果抗结核治疗的比例最低。
在结核的治疗中,选择的抗结核治疗方案是四联,三联还是其他?

从我们现有的数据的分析,全国的情况大概都基本上是一样,针对结核性胸腔积液,四联方案是最常用的抗结核方案(66%),其次为三联用药(18%)。
第二个常见的病因是感染。既然肺炎是导致胸腔积液的常见原因,那么我国抗菌药物使用的分布?

我们研究的数据,发现43%的患者接受了β内酰胺类药物治疗,13%的患者接受了喹诺酮类药物治疗,20%的患者接受了β内酰胺类+喹诺酮类药物联合治疗。
恶性胸腔积液的治疗方法

「恶性胸腔积液」也是我国渗出性胸腔积液中一个非常重要的病因,它的治疗可以用单纯胸腔穿刺,可以采用胸腔闭式引流,也可以是胸腔内灌注(硬化剂、化疗药物、生物免疫制剂),还有其他包括全身化疗、靶向治疗、手术等等这一系列的治疗。
那么恶性胸腔积液:置管引流 or 胸膜硬化剂?

发表在JAMA、Chest等顶级国家级期刊的研究,提示胸腔置管引流住院时间更短,后续胸腔侵入性操作会更少,置管引流可能是一种更好的处理方式。
随机对照研究显示,置管引流与胸膜硬化剂两种处理方式对呼吸困难和胸痛的症状改善相当,两组1年生存率相当 。
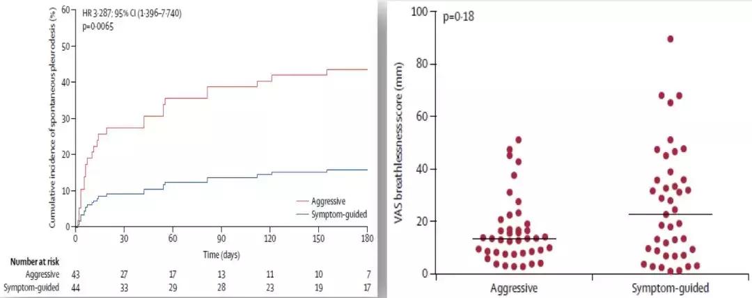
胸腔置管引流:每天排液 or 按症状排液?

尽管每天排液和按症状排液两组患者的生存时间没有差异,但每天排液促进胸膜自发固定更有效,生活质量更优。
胸腔埋管引流:小口径12F or 大口径24F?

结果发现相比大口径导管(24F),小口径导管(12F)组的疼痛评分显著更低,但其胸膜固定失败率稍高。
胸腔埋管最常见并发症是引起感染

胸腔埋管引起的感染大部分在埋管后90天内,以MRSA最为常见。
2018年指南对埋管相关感染的建议:
问题:患者出现胸腔埋管引流相关感染(蜂窝织炎、穿刺孔道感染以及胸腔感染)时,应该行单纯的内科治疗还是拔除导管?
建议:出现引流管相关感染时,无需拔除导管,一般只需使用抗生素治疗即可,只有当抗感染治疗效果欠佳时,才需拔管。
胸膜硬化剂效果中最好的是滑石粉:

胸膜固定术:经胸腔导管注入滑石粉
2018年6月这项研究显示,在第70天,滑石粉组69例患者中有35例(51%)成功发生胸膜固定,而安慰剂组70例患者中仅有19例(27%)成功发生胸膜固定:

从而为2018年恶性胸腔积液处理治疗指南更新提供了依据。
2018年指南强调了胸膜固定术的价值:
问题:有症状的恶性胸腔积液,一线治疗手段是埋管引流还是化学性胸膜固定术?
建议:不仅仅是可以通过埋管引流,化学性胸膜固定术也可作为一线治疗手段 ,以往指南只推荐埋管引流作为没有肺不张患者的治疗选择。部分医生接诊肺可以复张的MPE,也仅采用埋管引流;2018年NEJM发表的新证据强化了化学性胸膜固定术的治疗地位。
胸腔内使用尿激酶的价值

也可以采用注射尿激酶,研究显示与安慰剂相比,胸腔内使用尿激酶并不能减少呼吸困难或改善胸膜固定的成功率,但胸腔内使用尿激酶可以缩短住院时间、改善影像学表现、延长生存时间。
恶性胸腔积液的药物治疗

针对恶性胸腔积液,化疗是最常用的治疗方式,各区域使用靶向药物治疗的比例存在差异,华东地区略高。
胸腔积液患者住院医疗费用

不同的胸腔积液,费用是不一样的,排在第一是外伤、第二是肝硬化,第三是心包积液……胸腔积液住院患者平均住院总费用为23626.6元 其中华北地区最高,西北和西南地区较低。
特别对这60家参与单位表示衷心感谢!


参考文献:
[1] Light RW. Pleural Diseases. 2007
[2] J.T. Puchalski et al. Respiratory Medicine.2013.
[3] Walker SP, et al. Chest. 2017.
[4] Adeoye PO, et al. Niger Med J. 2017.
[5] 伍燕兵, 等. 中国呼吸与危重监护杂志. 2017
[6] Light RW, et al. Ann Intern Med. 1972.
[7] Porcel JM.Curr Opin Pulm Med. 2013.
[8] Porcel JM. Ann Transl Med. 2016.
[9] Sahn SA, et al. Int J Tuberc Lung Dis. 2013.
[10] Feller-Kopman DJ, et al. Am J Respir Crit Care Med. 2018 Oct.
[11] Arnold DT, et al. Eur Respir J. 2018 Nov.
[12] Miyoshi S,et al.PLoS One 2016.
[13] Rahman NM, et al. Thorax 2010.
[14] Bibby AC,et al. Curr Opin Pulm Med 2016.
[15] Woo CG, et al. J Thorac Dis. 2018 Aug.
[16] Dixon G. J Thorac Dis. 2015.
[17] Oldem,Am,et al.J Palliate Med.2010,13(1):59-65
[18] Medford AR,et al.J Palliat Med,2005,19(5):430-431
[19] Rahman NM,et al,Lancet Oncol,2008,9(10):946-952
[20] Seto T,et al.Br J Cancer.2006,95(6):717-721
[21] Miyanaqa A,Gan Tokagaku Ryoho,2011,38(4):524-527
[22] Davies HE, et al. JAMA 2012.
[23] Wahidi MM, et al. Am J Respir Crit Care Med 2017.
[24] Ost DE, et al. Chest. 2018
[25] Muruganandan S, et al. Lancet Respir Med. 2018 Jul 20.
[26] Rahman NM, et al. JAMA. 2015 Dec.
[27] Bibby AC, et al. Chest. 2015 Jul.
[28] Walker-Renard P, Ann Intern Med, 1994.
[29] Bhatnagar R, et al. N Engl J Med, 2018.
[30] Mishra EK, et al. Am J Respir Crit Care Med. 2018 Feb.
全文完
未经许可,请勿转载
