
针对具有既定形貌的物体的最佳空间结构,即堆积方式问题,是几个世纪以来困扰科学家们的一个悬而未决的问题。最典型的硬球堆积的例子可以追溯到开普勒时期,并且仅仅在几十年前才被科学家们解决。除了纯粹的智力挑战外,这个问题的解决是凝聚态物理中几个现象的关键,包括原子和分子晶体的形态,蛋白质的折叠,或刚性体的自组装,或半柔性聚合物在受限空间中的自组装。
两亲性分子可自组装形成具有各种几何形貌的聚集体。表面活性剂通常形成球形胶束,但它们通常也会聚集成细长的椭球体和柱状胶束以及囊泡结构。分子聚集体的形貌和尺寸对其在化学和生物分子识别、生物过程中的信号传递都有着关键作用。例如,尺寸和形貌针对模板纳米颗粒合成,药物载体的组织渗透性,控制细胞囊泡填料,以及蛋白质聚集性等扮演者极为关键的角色。
分子堆积参数的概念在化学、物理和生物学中得到了广泛的应用,因为它可以提供一个简单而直观的见解,并且避*考免**虑分子间作用力。然而,驱动聚集的相互作用不一定总是由纯接触电位引起的。这一点在离子化两亲性物质的情况下尤为明显,其主要的分子力是由长程库仑力。例如,最近有研究表明,静电筛选可以在微米尺度上诱导肽/两亲性聚集体的显著形态变化。类似地,静电相互作用被认为是离子表面活性剂中出现Franck Kasper准晶相的原因。在这种情况下,对胶束结构更可靠的预测性理解需要一个考虑自由能贡献的理论模型,其中包括疏水尾或亲水头头排斥的所有局部和非局部能量项,以及表面活性剂单体、聚集体、反离子的平移熵。
十二烷基硫酸钠(SDS,图1B)是研究离子表面活性剂堆积问题复杂性的典型例子。基于SDS, Reidar Lund教授团队结合分子模拟、球棍模型和散射技术,阐述了表面活性剂SDS胶束形态转变的微观机制。研究发现,通过配对两个SDS分子,反离子结合可以破坏组装的局部对称性。因此,这种较低对称部分的临界浓度促进了形状向柱状胶束的转变,而总体堆积参数没有任何影响。该研究以题为“Supramolecular Packing Drives Morphological Transition of Charged Surfactant Micelles”发表在化学领域顶级期刊《德国应用化学》上。

【SAXS/SANS追踪形貌转变】
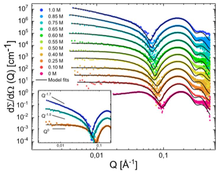
用小角x射线/中子(SAXS/SANS)对SDS的结构转变进行了研究,可提供尺度约为1-100 nm的信息。利用已建立的球形/椭球形、圆柱形和蠕虫状胶束的核壳模型在绝对尺度上对数据进行了分析。这些模型用于实验,揭示了纳米颗粒的非迁移性和浓度的增加。图2显示了43 mM浓度的十二烷基硫酸钠(SDS)下,散射矢量Q = 4πsin(θ/2)/λ(其中λ是X射线波长,θ是散射角)的最大散射强度的函数。在零浓度或低浓度盐时,SAXS散射图在低Q下显示出峰值或几乎为荧光强度,这表明主要是具有排斥作用的球形或球状胶束。然而,在较高的盐浓度下,高于0.4-0.5 M NaCl时,低Q下的强度急剧增加,并随Q-1衰减而变陡,并且,随着添加更多盐,研究人员发现Q-1.7依赖关系(图2)。这证明了分别转化成柱状或蠕虫状胶束的过程与之前的一致研究后者表明,在Kuhn长度以下形成了类似蠕虫的胶束,但在更大的全域范围内(较低的Q值)类似于链状结构。这些胶束随着盐浓度的增加而增加其轮廓长度。
在低浓度下,研究人员的数据清楚地检测到规则的球形胶束。值得关注的是,在浓度为1.04 M时,SANS强度的形状显示出一种进展性的增宽,这种增宽是由单个形态种群所描述的。这表明不同形态的SDS胶束共存。然而,当十二烷基硫酸钠浓度进一步增加到1.87 M及以上时,研究人员发现由均匀堆积的柱状胶束形成的结晶六角形相会产生类似布拉格的反射,如图S3所示。从位于Qm的三个反射中可以清楚地看到这一点,第一个峰值最大强度的Q值分别为√3Qm和2Qm。

图1. (A) 堆积参数的变化与组装结构的关系; (B) SDS的化学结构及粗粒化模型。

图2. 浓度为43 mM的SDS 溶液在不同含量盐的条件下的SAXS数据。
【计算机模拟胶束形貌转变】
通过一组混合粒子场/分子动力学(hPF-MD)计算机模拟,在不同SDS和盐浓度下,研究了SDS胶束形态变化与电解质总浓度之间的关系。在低浓度下,hPF -MD模拟数据再现了通过向系统中添加过量盐使胶束结构从球形转化为柱状形貌的过程。尽管hPF-MD定量预测了构象转变的临界盐浓度,但视察到的胶束核心半径的变化趋势与实验非常一致(图3(A))。在所有情况下,椭球型胶束的主核半径都在13-14 Å左右,非常接近分子长度(14.1Å),表明SDS分子始终保持垂直构象。在跃迁的上方,蠕虫状胶束的核心半径松弛到12-13Å,与实验一致,过渡区附近的柱状胶束的长度为∼80 ±13Å,并迅速伸展到超过模拟盒尺寸的长度。
增加纯SDS溶液中表面活性剂的浓度,hPF-MD模拟预测盐浓度在0.2 M以上形成柱状结构,这与前期的计算模型结果一致。然而这种情况下,转变现象并不是十分明显,即使在双倍浓度下,溶液也含有球形、柱状等的非均相胶束聚集体(图3)。在1M浓度下,SDS胶束几乎是圆柱形的,其轮廓长度很长,呈无序网络结构。总的来说,如图3所示,模拟相图遵循实验中发现的定性趋势。特别是,实验和模拟都报告了一个在过量盐含量条件下的扩散区域,该区域球形与柱状共存。模拟和测量之间的定量差异应归因于模型中的近似值,最重要的是评估平均场限内的分子间相互作用,并使用一个恒定的介电值,如前所述。在浓度>2 M下视察到的六边形与最近在粗晶模拟中视察到的正六边形晶相一致。

图3. 不同SDS和盐浓度下胶束结构的SAXS/SANS数据,混合粒子场-分子动力学模拟。
【胶束形貌转变信号的盐的定位】
在SDS和盐浓度的广泛范围内重复hPF-MD模拟,研究人员检测到柱状形聚集体的临界SDS浓度随盐的添加呈线性降落趋势(图3)。有趣的是,无论SDS的浓度如何,从小球状胶束到伸长结构的转变在较小堆积参数(P≈0.2)处发生,并且在形态转变处不显示间断性。阈值远小于Israelachvili提出的阈值(P ≥ 0.5)。这意味着离子表面活性剂中的这种转变与非离子表面活性剂中发现的纯分子维寸无关。为了更好地理解反离子在形态转变中的作用,研究人员引入有序参数ζmic,并定义为:

hNa+为胶束表面结合离子的平均数,A为胶束的表面积,σNa+(r)为离子的局部表面密度。ζmic与胶束表面Na+的局部密度与平均表面密度值相当。ζmic的高值对应于胶束表面局部区域(即在单个SDS头附近)中结合的反离子。较低的ζmic值表明离子均匀地分散在胶束整个表面上。计算数据显示,聚集体的形态转变对应着ζ mic 的明显变化(图4)。特别是,球形胶束具有与ζ mic 的高值相对应的特征。当系统失去临界过渡区(图3)时,更多的离子以非定域方式结合。向柱状聚集体的转变是由ζ mic 导数的不连续性表示的。在所有柱状聚集体中,无论距离过渡区有多远,ζmic的值都相当恒定(图4)。简单的静电模型可以解释分子堆积参数的变化。

图4. 球-柱转变的有序参数。
【球形胶束形貌转变为柱状胶束的机理】
单链表面活性剂胶束的球形结构通常被解释为有效圆锥状分子的堆积,其中疏水碳链对应于锥轴,亲水头位于锥基的中心。圆锥形基底相对较大的半径是水分子占据邻近头部的体积的结果。针对电解质化合物如十二烷基硫酸钠,任何基于堆积参数的理解都需要包含流动反离子。特别是,实验和先前的模拟都表明,在SDS溶液中加入盐有助于SDS胶束形态的显著变化,这意味着额外的流动电荷的存在直接影响了物质的堆积形状。
由至少两个SDS分子形成的超分子单元的构成引起了SDS胶束结构的变化。在低钠浓度的情况下,每一个分子的行为如独立的物质,且每一个物体都具有大致的C∞v对称性。因此,在自组装结构中,SDS将占据(截短的)有效圆锥体体积,且在排斥性、亲水性、带负电的硫酸盐头的高度有较大的基部,并且有一个横向疏水表面。事实上,低离子强度下SDS胶束的形状是沿着侧面堆积的锥形物体聚集形成球形聚集体(图5)。
伴随着多个超分子的结合,决定了低对称(C2v)超分子的存在,其特征是有效的形状与楔形体相似。值得关注的是,这种结构的堆积参数的估值为0.493,实际上处于1/2的阈值。直观地说,这种形状可以形成盘状结构,盘状结构可以纵向生长,形成柱状自组装物质。这意味着SDS头部基团的各向异性分布,沿着管状胶束纵轴的堆积头部多于沿着横向的堆积头部,这与研究人员的模拟结果一致(图5)。另外,由于SDS是一种强电解质,大部分反离子分散在溶剂中,使SDS胶束带负电。事实上,模拟和实验都表明,60-75%的SDS分子是通过反离子筛选的。此外,通过单体和二聚体SDS的堆积参数的加权平均,研究人员估计约10%的分子带电量在球/柱转变的边界上是平衡的。这些数据表明,只有约20% SDS配对形成二聚体从而诱导胶束结构变化。因此,根据反离子的结合动力学,在统计上存在一个临界数量的更紧密的、较低对称性的单元,而这些低对称性单元沿着胶束动态的形成和断裂,从而促进了胶束形态的变化

图 5. SDS 自组装机理。
【小结】
本文的工作有助于理解在长程相互作用下软物质的自组装过程。特别是,在适当的条件下证明了这种相互作用能稳定超分子物质。由这些部分产生的对称性破缺导致组装分子的不同局部结构,从而引起宏观结构的差异。在上述种情况下,如果应用到超分子尺度,不仅考虑到单个分子的形状,而且考虑统计更复杂的结构,闭式分子堆积的推理条件仍然成立。
https://doi.org/10.1002/ange.202004522
来源:高分子科学前沿

微信加群:
“高分子科学前沿”汇集了20万高分子领域的专家学者、研究/研发人员。我们组建了80余个综合交流群(包括:教师群、企业高管群、硕士博士群、北美、欧洲等),专业交流群(塑料、橡塑弹性体、纤维、涂层黏合剂、油墨、凝胶、生物医用高分子、高分子合成、膜材料、石墨烯、纳米材料、表征技术、车用高分子、发泡、聚酰亚胺、抗菌、仿生、肿瘤治疗)。
添加主编为好友(微信号:MaterialsFrontiers
添加 小编 微信(务必备注:名字-单位-职称-研究方向)
( 微信二维码 扫码添加)
我们的微博:高分子科学前沿,欢迎和我们互动。
我们的QQ交流群:451749996(务必备注:名字-单位-研究方向)
投稿 荐稿 合作:[email protected]