消除摩天楼风载晃动的减震摆
刘延柱 科学网博客 2021-4-1
晨雾 / 转帖
【晨雾按语】据媒体报道今天(2021年5月18日)中午时分,深圳赛格大厦出现晃动,现场有人员从大厦撤离。记者当日14时10分许从深圳防火获悉,已接警并出警,具体状况需进一步调查。
在此转载一篇关于摩天大楼减震摆的科普文章。感谢文章原作者。
--------------------
赴台旅游过的游客大都去过台北的 101 大楼(图 1),参观过大楼里悬挂的巨大的减震摆(图 2)。这个直径 5.5 米,重达 660 吨的巨大钢球由 4 根粗钢索悬挂在 88 层与 92 层之间,形成一个大单摆。

图1 台北101 大楼

图2 101 大楼的减震摆
2016 年完工的 上海中心大厦高度 632 米,远远超过高度 448 米的 101 大楼(图 3)。是已建成的全国第一,世界第二高楼,上海的地标性建筑之一。上海中心的顶部 126 层也悬挂着一个 1000 吨的重量更大的减震摆。这个巨大的减震转置全名是 “ 摆式电涡流调谐质量阻尼器 ” (Pendulum Eddy-current Tuned Mass Damper) [1]。值得一提的是减震摆质量块上方装饰的艺术品(图 4)。这个从《山海经》中 “烛龙之眼” 获得灵感的雕塑作品与 “龙塔” 式的大厦造型相辉映。上方有一圆洞直指苍穹,在透过玻璃的阳光投射下更增加神秘色彩,被昵称为上海中心大厦的 “慧眼” 。

图 3 上海中心大厦

图 4 上海中心大厦的减震摆
楼层太高的摩天楼很容易受到风力的影响产生动荡,这种晃动属于自激振动。在博文 “瑞利方程和 范德波尔方程描述的自激振动” 里,针对输电线、悬索桥、高层建筑等细长物体因风载导致的自激振动有过详细说明。类似的这种现象早在 19 世纪就已引起关注。1878 年捷克物理学家斯特劳哈尔(Strouhal,V.)发现,当微风吹过竖琴的细弦时会使竖琴发出声音,因此对气流通过圆截面柱时产生的振动做了系统的实验研究。结论是振动频率与流速成正比,与圆截面柱的直径成反比。1912 年美籍匈牙利力学家冯‧卡门(Von Kármán,T.)(图 5)从理论上证明,当流体绕过非流线形障碍物时,会在物体后方两侧产生反对称等距离排列的,旋转方向相反的成对涡旋,称为卡门涡街 (Kármán Vortex Street)(图 6)。出现涡街的尾流对物体产生周期变化的作用力,频率与流速和物体直径的关系与斯特劳哈尔的实验结果符合一致。如激励频率与物体固有频率接近,可导致激烈的共振。从而解释了风载引起自激振动的产生原因。

图 5 冯‧卡门(Von Kármán,T. 1881-1963)

图 6 卡门涡街
摩天楼在风载下的自激振动若不加控制,顶端摆动的加速度可高达 6 cm/sec2 以上而超过允许范围。为减小风载引起的动荡效应,必须采取各种阻尼方法。上海中心大厦的外形十分独特,是由曲面卷绕形成,每层扭转10 的扭曲几何体。理论研究表明,这种称为“龙塔”式的外形可延缓和削弱卡门涡街的形成。摆式阻尼器将阵风对大楼的激励转移至减震摆,其摆动的动能被电涡流阻尼器耗散,从而实现有效的振动抑制。2019 年 8 月 10 日上海受强台风 “利奇” 的袭击,风速高达每秒 40 米,上海中心大厦的减震摆的振幅高达 50cm,而大厦安然无恙。
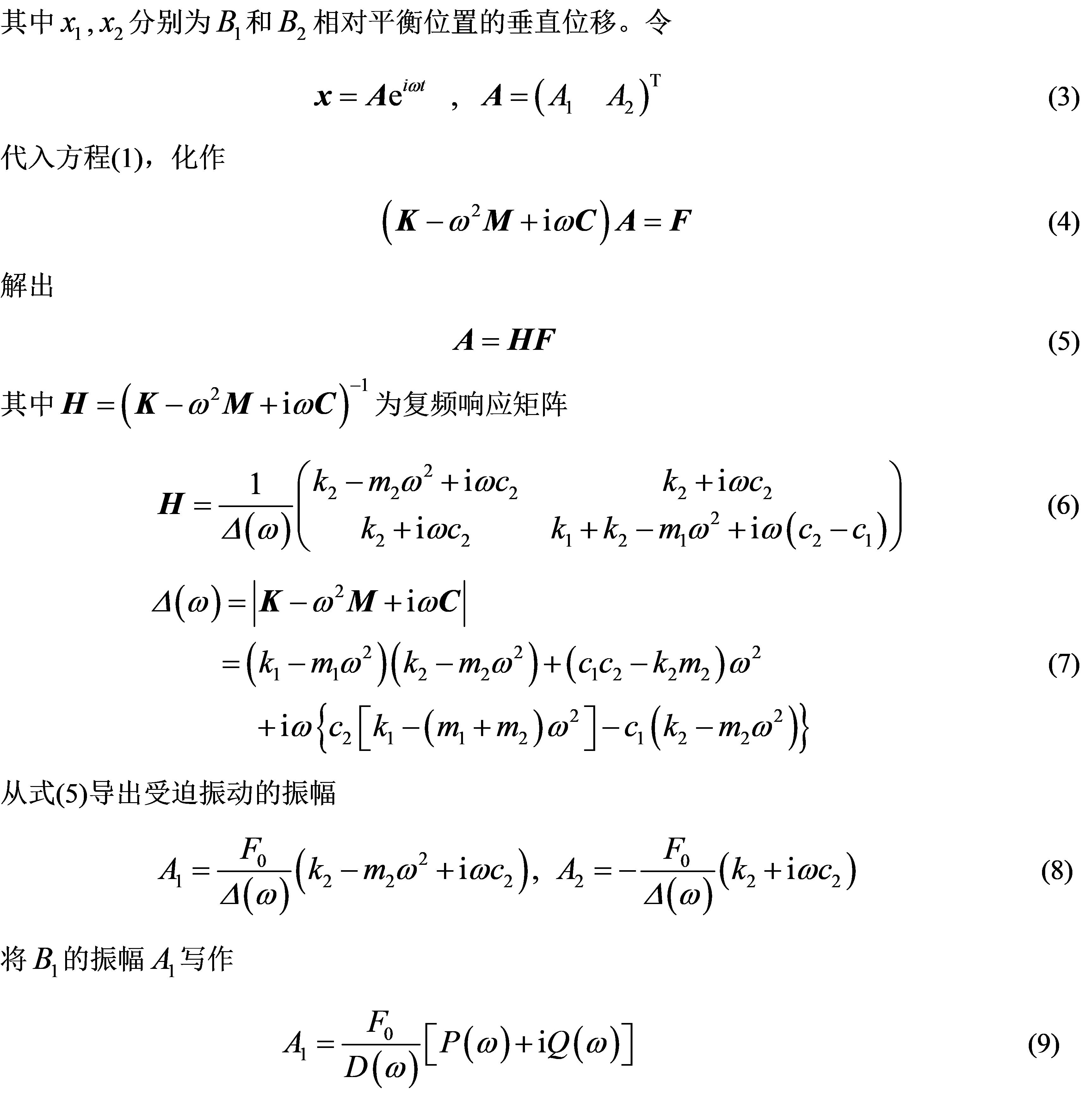
摆式阻尼器也称为动力吸振器。其抑制振动的基本原理基于线性系统的受迫振动规律[2]。设质量为 mi (i=1,2) 的两个物体,用两个刚度为 Ki (i=1,2) 的弹簧串联成二自由度振动系统(图 7)。其中的物体 m1 受到频率为 ω 的简谐力 F0sinωt 的激励,列出此系统的受迫振动方程:


图 7 二自由度振动系统
此方程组有以下特解,确定系统的受迫振动规律:

其中函数 Δ(ω2)为

若作用于物体 m1 的激励力频率 ω 恰好等于物体 m2 的固有频率 ω20 = (K2/m2)1/2,则 x1(t) 的振幅等于零,表明物体 m1 的振动被完全抑制,激励力的全部能量被转移到物体 m2 。此即动力吸振器的理论依据。考虑阻尼因素影响的理论分析在附录中给出。
摩天楼中悬挂的大单摆就是一具超大型的动力吸振器。吹向大楼的阵风可能有多种频率成分,其中以接近大楼基频的阵风最危险,如不加控制就会使大楼产生强烈晃动。将大单摆的固有频率设计成与大楼的基频相等,则阵风的能量就被转换为单摆摆动的动能。电涡流阻尼器将此动能耗散为热量,大楼的晃动就被大大降低。
动力吸振器的原理是 1928 年由美国的奥蒙德罗伊德 (Ormondroyd,J.) 和邓哈托 (Den Hartog,J.P.) 提出的。要达到消除振动的目的又不消耗能源,动力吸振器是一种理想的消振方案。在实际应用方面,邓哈托在他的机械振动著作里曾举出理发电推子的有趣例子[3] (图10)。另一个重要的应用是在内燃机的曲柄轴上安装一个可绕旋转轴转动的弹簧振子,它的固有频率被调整得与旋转轴的临界转速相等时,可消除旋转轴的扭转振动(图11)。

图 10 带吸振器的理发推子

图 11 旋转轴上的动力吸振器
基于动力吸振器原理的减震摆以其消除晃动的有效性,被许多著名的超高层建筑采用。在上海中心大厦之前的 2008 年,另一座超高层建筑上海环球金融中心就已安装了两台重 150 吨的减震摆。
参考文献:
[1] 程穆,汪立军. 阻尼器在上海中心大厦的应用. 上海建设科技,2014, (3): 26-29
[2] 刘延柱,陈立群,陈文良. 振动力学(第二版). 北京, 高等教育出版社,2011: 139~141
[3] 邓哈托. 机械振动学. 北京:科学出版社. 1965 : 95~102
(改写自:刘延柱. 趣味振动力学,8.5 节. 北京: 高等教育出版社,2012)
附录:带阻尼的二自由度系统动力消振器




转载本文请联系原作者获取授权,同时请注明本文来自刘延柱科学网博客。
信息来源:2021-05-14 刘延柱科学网博客
http://blog.sciencenet.cn/blog-3452605-1279666.html
【声明】本文为转发分享,已经注明来源。不代表本平台赞成或反对原作者的观点,文责和版权属于原作者。转载此文是出于传递更多信息之目的,如有侵权请联系删除。