近年来,各省市的中考压轴题中,有相当一部分的试题将几何问题、函数问题、图形运动问题与平面直角坐标系结合为一体,将有关图形置于直角坐标平面中,使数与形有机地结合在一起。
要正确地解答这类题目,应关注以下几点:
(1)关注平面直角坐标系中两坐标轴具有互相垂直的关系及点的坐标与有关线段的长度之间的相互转化;
(2)关注函数图像与坐标轴的交点、两个函数图像的交点与相应的方程(组的根之间 的关系;
(3)关注图形中某些元素的运动(如动点在图形中的沿线运动,直线或线段针对某图形 的运动及图形的整体运动(如平移、旋转、翻折等运动)所带来的变化。
总之,这类题目有机地将代数、三角、几何等知识融合在平面直角坐标系中,用坐标来描述图形的位置,用坐标的方法来研究图形间的关系及运动变换,考查了考生探索、猜想、 论证及数形结合、分类讨论等综合运用有关数学知识解决问题的能力。
一、坐标平面中的几何问题

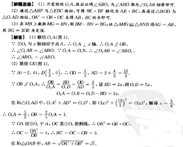
【解题思路】(1)只需利用翻折的对称性即可直接求出点F的坐标;(2)根据等腰三角形的特点,排除掉不可能的情况,确定点P的位置,从而求出抛物线 的解析式;(3)利用“轴对称”的知识求得四边形中三条边长度和的最小值。


























