虚数是一个抽象的概念,但是虚数对我们精确描述我们的宇宙是必不可少的。它的存在让很多公式变得简洁而优美。

针对数学家来讲“世界上可能没有足够多的爱能拿来表达虚数的存在”。很多时候,如果你想精确地描述你生活的这个宇宙,你需要跳出传统思维的束缚。在20世界早期,物理学的两个重大突破——相对论和量子力学对数学的需求远远超过了实数的范畴。从那以后,复数数学的发展开始在我们理解这个宇宙中发挥重要的作用。
复数包含两个部分,实数部分和虚数部分。当我们最开始接触数学的时候,我们基本上是按照下面的顺序逐件扩展的:
-
可数的数:1,2,3,4……等等。这些数字是无限多的
-
整数:0,1,2,3……等等,跟可数的数相比,这里多了数字0
-
所有的整数:……,-3,-2,-1,0,1,2,3,……。这里我们又包含进去了负数
-
有理数:很多数可以表示成两个整数的除法情势。因此有理数包含了所有的整数和所有有限重复的小数。
-
实数:除了有限重复的小数之外还有无限重复小数,即无理数例如自然数e,圆周率π等。有理数和无理数的和为无理数,而两个无理数的和则可能为有理数。
正数的开方是实数,而负数的开方呢?之前并没有很好地定义。直到虚数的概念提出来以后,这个问题才得以解决。虚数和实数的不同之处就在于它们后面都乘了一个“i”,即-1的开方。数字也可以是复数,即它们即有实数部分(a)也有虚数部分(b),可以表示成a + bi的情势。
我们回顾了虚数和复数的定义之后,我们就可以来看看关于虚数的5个有意思的事实了:
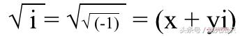
1、i开根号既有实数部分也有虚数部分
复数开方得到一个纯虚数,但是纯虚宿的开方却即有实数部分也有虚数部分。下面我们看看证明的过程:
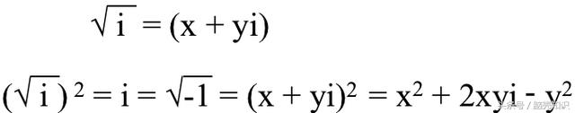
首先我们假设i的开方值可以表示成x+yi的情势:

两边同时平方我们得到:

我们把实数和虚数的部分对应起来:

继续求解:

因此我们可以得到:

我们可以看到,实际上i的开方是有两个解的:

这就让i有了下面一个有意思的性质
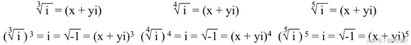
2、i的任何次开方都有多个结果,开N次方就有N个不同的解
针对正数而言,你最多可能只有两个解。但是对虚数而言,解的个数可能跟开方的次数一样多了。
例如:

对i开3次方,4次方和5次方,分别可以得到3个,4个和5个解。例如i开3次方可以得到:

3、虚数分数中i位于分子位置还是位于分母位置对最后的结果影响很大
对实数除法-1/1和1/-1的结果是一样的,但是对虚数而言结果就不一样了,例如:

它的值就为-i,而不是i

在复数运算中i的结合顺序非常重要,如果运用不当可能导致错误的结果,例如:

4、e,π和i三者可以统一在一起
坐标系可以是标准的由x轴和y轴描述的正交坐标系,也可以是半径r和角度θ描述的极坐标系。如图:

但是如果你用实数和虚数来代表x轴和y轴,那么你可以得到:

上面的公式在角度为180度即-1的位置的时候我们可以得到一个非常优美的结果:

这个公式就是有名的欧拉公式,它在很多复杂分析中都广泛应用。
5、i^i或者i的i 次方,是100%的实数
对上面的欧拉公式我们考虑i的位置,即角度为90度:

两边都计算i次方:

我们得到:

这个值大约为0.20788,是一个实数。
虚数i代表的含义非常值得人们去深思,就像中国的太极哲学一样,实数和虚数虚虚实实转化演绎者我们生活的宇宙。
每天思考一分钟
脑壳(naokr.com)——思考很快乐