名诗精选
首页
枪炮篮球PiU
文竹天乂
老九新语
看我科技
狸花大胖电影
女神化妆呀
首页
›
教育之正能量
›
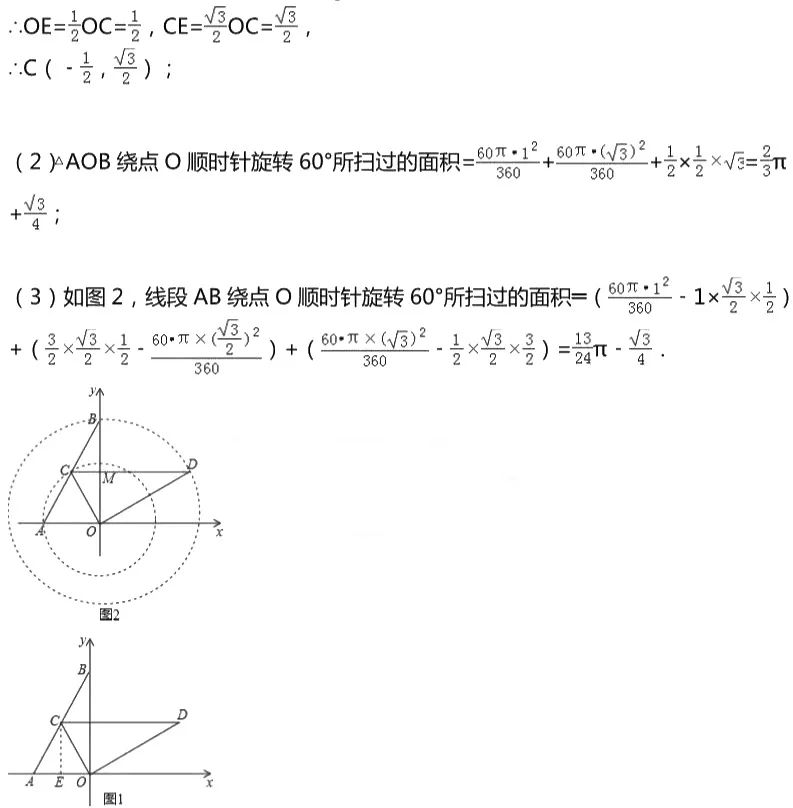
弧长和扇形面积技巧题 (圆和扇形面积练习)
弧长和扇形面积技巧题 (圆和扇形面积练习)
🏷️
教育之正能量
✍️ 发展职业教育,弘扬社会正能量
📅 2026-04-21 19:00:24