在推文《光变声[1]》中给出了新版的信标硬件的基本原理和实验波形。下面是对实际新版声音+射频信标电路电路板进行调试,并给出具体发送信号的规格。
一、原型电路板
1. 实验电路板
新版的信标的外形大小和与原版红外信标中的 LED 板尺寸是一样的。具有同样的两个 8PIN 双排插座与底层的控制板相连。因此很容易将原来信标中的 LED 板替换掉,形成新版信标电路。

新版信标的电路板
2. 新版信号主要功能
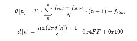
信标新版信号主要发送两种导航信号:第一种:Chirp 声音信号 Chirp 信号的的规格:
线性调频 Chirp 信号:起始频率:终止频率:Chirp 信号时长:Chirp 信号 DA 转换频率:,DA 转换时间:。DA 输出为 12bit,数据由如下公式生成:

焊接 QFN封装的MCU过程
参考 DAC 数据缓冲区初始化程序参加下面子程序:
void InitDACBuffer(float fStartF, float fEndF) {
float fAngle = 0;
float fFrequency;
float fDeltaT = 1.0 / DAC_OUTPUT_FREQUENCY;
int i;
for(i = 0; i < DAC_BUFFER; i ++) {
g_nDACBufferi(unsigned short "i")((sin(fAngle * 2 * 3.1415926) + 1.0) / 2 * 0x4ff)+0x100;
fFrequency = (fEndF - fStartF) * (i + 1) / DAC_BUFFER + fStartF;
fAngle += fFrequency * fDeltaT;
}
}
- 两段 Chirp 声音间隔为:0.2048s.
第二种:射频信号
调频信号的频率是可以设置的。为了避免与调频电台重叠,待选的两种频率为:85MHz,110MHz。

使用热风枪焊接 QFN 封装的 MCU 过程
在下面的调试过程中,射频信号的频率暂时为 95.1MHz。
3. 组装后的新版信标硬件
下面是焊接完之后的新版信标,其中主控芯片还是使用的 QFN 封装的 STM32F051K8 芯片,射频芯片 QN8024,然后再经过一级射频放大,采用 9018 高频三极管进行射频功率放大。

焊接完毕之后待测试的电路板
驱动扬声器的音频放大器使用的是 L2726。在实验中需要对 L2726 表面增加散热片,以免芯片温度过高。
也可以使用 D 型功率输出的音频驱动电路,这样便可以提高音频放大效率,不用使用散热片。

安装在底座上并连接扬声器
在信标信号板上,还包括有开关电源,为单片机供电。还有四个指示 LED 灯,用于指示信标灯的工作态势。
二、测试结果
1. 软件功能:
新版信标电路中的单片机软件功能非常简单,主要包括:
- 检测接口电路中原来 LED 闪烁脉冲信号,来决定是否发送 Chirp 声音和射频信号;对 QN8027 进行初始化,并控制射频信号发送还是停止。通过 DA 输出产生 Chirp 模拟信号,驱动调频 QN8027 以及 L2726 音频放大芯片。
此外就没有其它功能了,所以可以使用任何一个简单的 MCU 完成功能设计。

工作时态势
下图是将焊接好的信标板安装在原信标灯座上。按动原信标灯的控制盒,触发信标灯发送 Chirp 声音和调频信号。

安装在基座上的电路板
2. Chirp 声音信号:
使用示波器测量信标发送的 Chirp 音频信号。它是间隔为 0.2048 秒,长度也是 0.2048 秒的音频信号。

间歇发送的 Chirp 信号
将其中 Chirp 音频信号采集放大开来,它是频率从 250Hz 线性增加到 2000Hz 的正弦振荡波形。

Chirp 驱动电压信号
Chirp 声音经过 L2726 功率放大之后,施加在扬声器上,发出用于导航的声响。

发声的扬声器
3. 射频信号频率
使用 DSA815 频谱仪测量信标发送的 FM 信号。在频谱仪的输入端增加一个普通调频收音机天线,便可以检测到信标发送出的射频频谱。
下图显示了在调试阶段,调频信号的频谱。由于声音信号每隔 0.2048 秒发送一次,所以可以看到接收到的射频信号的频谱也在不停的变化。

FM 频谱
在信标停止发送调频信号时,DSA815 接收到的频谱如下图所示。可以看到在本地 95.1MHz 周围还存在着两个本地调频广播电台的射频信号。

停止发送时的 FM 频谱
为了避免与当地调频电台频率冲突,实际射频频率将会设置在 85MHz,或者 110MHz。
三、声音信标检测方法
由于新版信标检测同时提高声音和射频两种导航信号,因此在使用过程中可以采用以下几种组合方案进行车模导航。
- 方案 1:只使用声音信号,采用麦克风阵列完成声音的定位;方案 2:只使用射频信号,采用天线阵列完成声音定位;方案 3:同时采用声音和射频信号。由于射频信号中还调制有同样的 Chirp 信号,所以单靠一个麦克风便可以获得声源的距离。然后通过车模的移动,反过来获得声源的位置。此时可以采用定向麦克风,通过扫描获得音源的方向,联合距离完成定位。
当然,也可以采用上面多种方案的组合,来获得更快更精确的信标位置。
虽然新版信标上也有发光 LED,只是信标的工作态势,它发光的强度低,在外接的光线下,通过普通的摄像头不太容易辨别。
关于新版信号的机械结构,之后在《第十五届智能车竞赛信标规格说明》文档中给出。
参考资料
[1]
光变声: https://blog.csdn.net/zhuoqingjoking97298/article/details/104784124