冬天是个让人忧桑的季节——
皮肤干燥缺水,只能忍着寒冷敷面膜
嘴唇干燥起皮,每天拿起唇膏擦擦擦

但三湘君要告诉你们:
你们每天用的MAC唇膏
以及来自韩国的面膜
很有可能质量不过关!
2月6日,国家质检总局官网发布2016年12月未予准入的食品化妆品信息。时隔仅1个月,彩妆品牌MAC(魅可)唇膏再次出现在未予准入名单中,涉事唇膏21.334千克,约7100余支。
近段时间,唇膏销售持续升温,热门色号受追捧。而少有消费者意识到,随时可能被“吃掉”的唇膏质量其实更应关注。
热销品牌唇膏再遭退运
唇膏质量现隐忧

魅可唇膏(资料图)
2月6日由国家质检总局公布的2016年12月未予准入食品化妆品名单显示,有5批次分别产自比利时、加拿大,由三亚市内免税店有限公司进口,总重达21.475千克的MAC(魅可)唇膏因感官检验不合格而遭到退运。按该品牌旗下多系列唇膏每支净含量3克计算,约合7000余支。
据了解,这已经是雅诗兰黛集团旗下的这一美妆品牌继2016年10月有总重量达531.17千克的唇膏因感官检验不合格遭到退运后,第二次因同样原因出现出现在了未予准入黑榜上。此前,MAC公司客服曾回应称,遭到退运的唇膏为免税店专供产品,与在国内市场销售并非同一经销商,不涉及任何专柜产品。
虽然不少消费者对唇膏倍加追捧,甚至出现长沙市内大部分专柜多品牌长期“无货可买”的现象,但唇膏一再出现质量问题遭退运仍应引起重视。此前,就曾有露华浓、欧莱雅等多个品牌唇膏曾被抽检结果显示不合格。
每次只抹一点儿的唇膏质量是否真如此重要?记者在雅诗兰黛、CPB等多个品牌专柜了解到,由于唇膏属于密切与人体接触,可能进入人体内循环的彩妆用品,因此尤为重要,即使在其他护肤品可正常使用的前提下,唇膏则是“不建议孕妇在任何情况下使用”。
小百科
M·A·C是Makeup Art Cosmetics(彩妆艺术化妆品)的缩写,一九八五年在加拿大创办,是雅诗兰黛化妆品集团旗下第一个非由兰黛夫人自创的品牌。
19批次韩国化妆品未准入
一款面膜含粪大肠菌群
除MAC(魅可)唇膏外,在2016年12月“吃了闭门羹”的还有来自韩国的5个品牌的19批次不同化妆品因未按要求提供证书或合格证明材料等原因被退运。其中,同样不乏目前受到年轻消费者爱好的泡泡面膜、精华素、乳液等产品。

(网络图)
让人惊讶的是,在这19批次共计2523.27千克产品中,有10千克由上海胜恩进出口有限公司引进的缪斯美匙黑精灵备长炭醒肤黑面膜(半成品)因检出粪大肠菌群而被烧毁。
据百度百科显示,粪大肠菌群是生长于人和温血动物肠道中的一种肠道细菌,随粪便排出体外,受到粪便污染的水、食品、化妆品和土壤等物质含有大量的此类菌群。
调查显示,不少女性消费者喜欢在街头化妆品店、美容店购买或使用未经国家检验检疫部门正规途径入境的“原装进口”护肤品、化妆品,事实上,这也为自身皮肤埋下健康安全隐忧。
“在长沙,一些没有专业运营资格的美肤化妆店使用购买路径不明的国外进口护肤原料,经营包括韩式半永久、纹身、SPA等各种项目,产品质量没有保障,消费者在使用前还是应该关注产品包装上是否贴有‘CIQ’标识。”一位从事美容美肤馆的业内人士对记者表示。
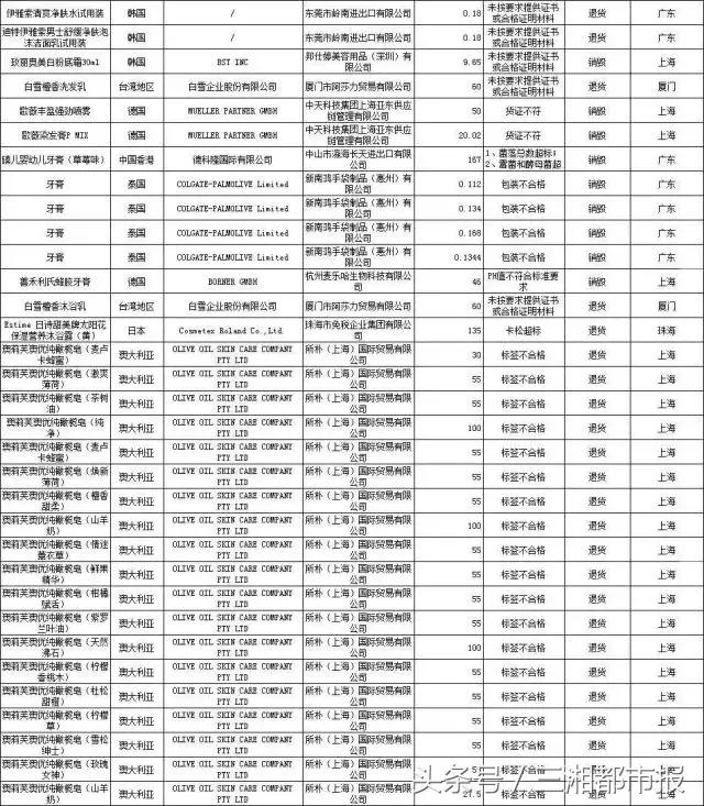
2016年12月未予准入的食品化妆品


国家质量监督检验检疫总局郑重说明:本表所列未予准入的食品、化妆品都已依法做退货或烧毁处理。