
全国第十二届书法篆刻展览的帷幕已经开启,福建省作者在这次极其严密、规范、公正的国展评审中取得优异成绩,共有43件作品入展,入展数量位居全国第9名,第一次进前十名内,其中7位作者有两种书体的作品入展,与福建作者参加历届国展相比有历史性突破。尤其突出的地市如泉州市17人19件作品、厦门市8人12件作品、南平4人4件作品入展(以作者工作生活常住的城市统计)。
为迎接十二届全国展,福建省文联领导、福建省书协高度重视,安排省书协主席团成员带队分赴各地市举行现场面对面看稿活动,并邀请省内部分获奖书家参与指导,针对作者具体情况进行“把脉诊断开处方”,取得很好的效果。尤其省书协驻会人员深入偏远市县动员指导,实现赛前发动指导全覆盖。同时组织重点作者集中武夷山看稿,邀请全国资深专家现场指导、打磨投稿作品。各地市书协也结合实际通过引进来、走出去的多种情势,积极组织、发动本地市作者投稿。通过多层次、全方位的引导,使我省投稿的数量和质量不断提升。
福建书坛在全国十二届“国展”或其它重要展览中不断取得新的突破,与广大书法作者自身勤奋努力、不断进取分不开的;和省书协历届主席团薪火相传打下的坚实基础分不开的,是有序历史传承,不断积淀的结果。

全国第十二届国展福建省入展人员名单
(共计36人43件)
泉州(共17人19件)
蔡乾坤 龚子猛 吴国雄 许全业 赵炳坤
龚天益 林炯宇 林丽娜 王志安(2件)
许彩玲 杨世辉 张彬华(2件)
洪达林 沈汉波 颜培蕾 张元清 *温胡**平
厦门(8人12件)
申超 叶韶霖 罗建辉 吴秋瑾
许义法(2件) 朱国振(2件)
张池山(2件) 陈添荣(2件)
南平(4人4件)
刘蔚原 张剑峰 张荣安 夏红
福州(3人4件)
林传生(2件) 林超凡 郑楷聪
漳州(2人2件)
艾青 蔡宝国
龙岩(2人2件)
范泰和 苏友林
(说明:各地市作者以工作常住地为统计单位)
//泉州
QUAN ZHOU

蔡乾坤 / CAI QIAN KUN

蔡乾坤作品

龚子猛 / GONG ZI MENG

龚子猛作品

吴国雄 / WU GUO XIONG

吴国雄作品

许全业 / XU QUAN YE

许全业作品

赵炳坤 / ZHAO BING KUN

赵炳坤作品

龚天益 / GONG TIAN YI

龚天益作品

林炯宇 / LIN JIONG YU

林炯宇作品

林丽娜 / LIN LI NA

林丽娜作品

王志安 / WANG ZHI AN


王志安作品

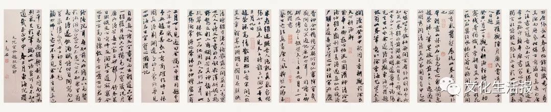
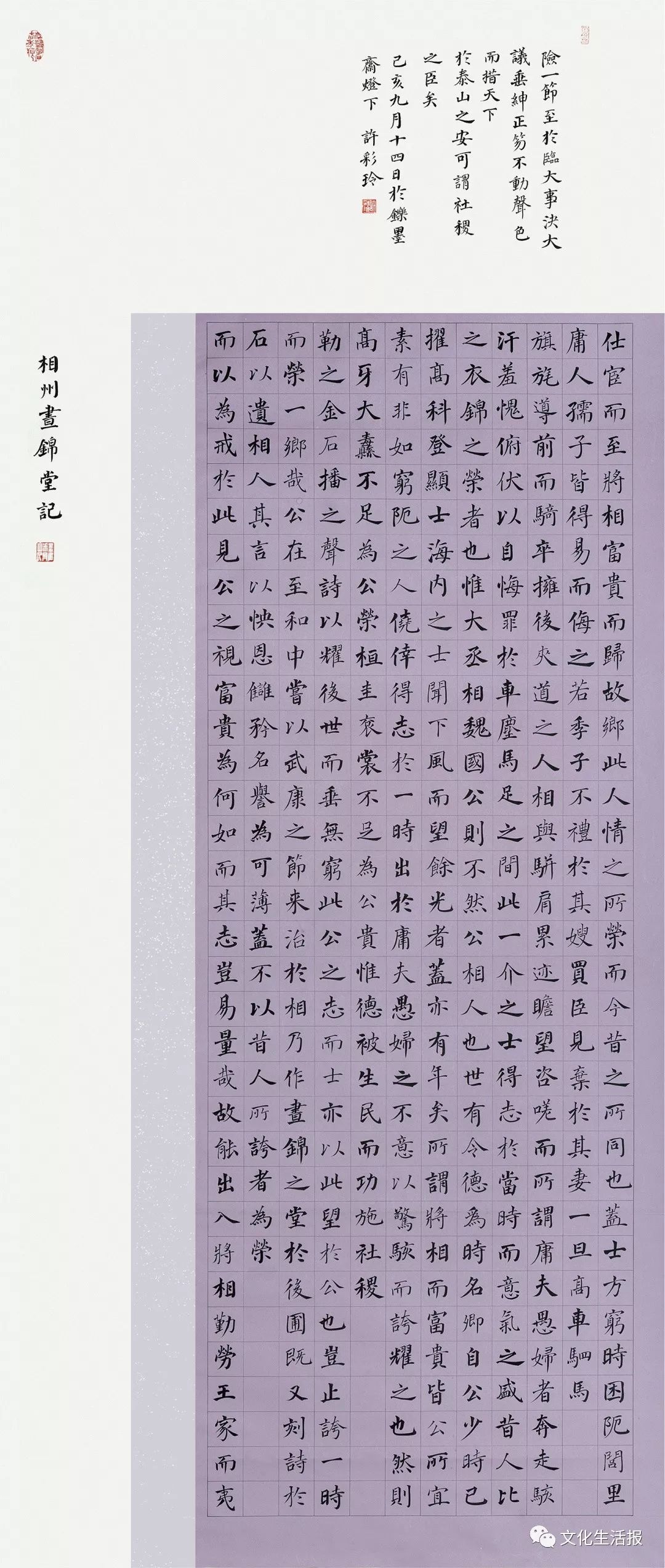
许彩玲 / XU CAI LING

许彩玲作品

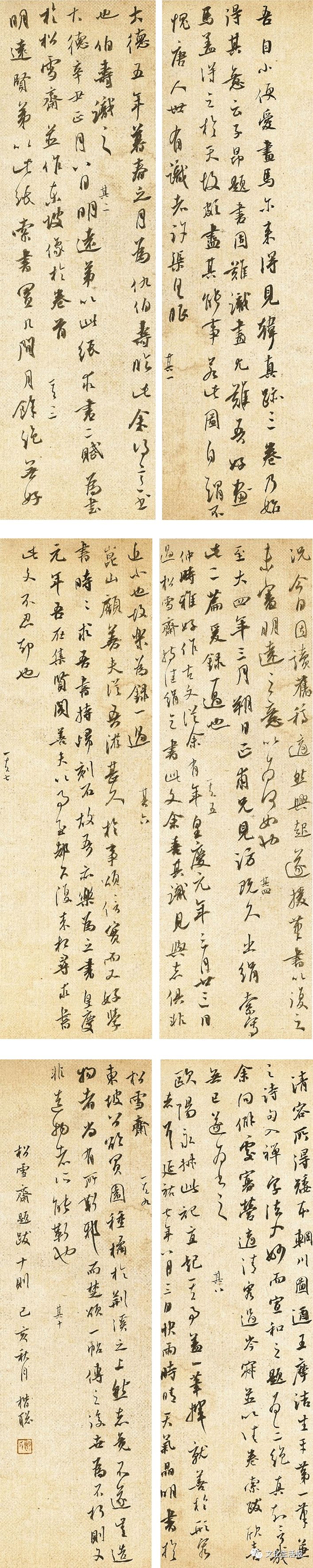
杨世辉 / YANG SHI HUI

杨世辉作品(局部)

张彬华 / ZHANG BIN HUA


张彬华作品

洪达林 / HONG DA LIN

洪达林作品

沈汉波 / SHEN HAN BO

沈汉波作品

颜培蕾 / YAN PEI LEI

颜培蕾作品

张元清 / ZHANG YUAN QING

张元清作品

*温胡**平 / HU WEN PING

*温胡**平作品
//厦门
XIA MEN

申超 / SHEN CHAO

申超作品

叶韶霖 / YE SHAO LIN

叶韶霖作品

罗建辉 / LUO JIAN HUI

罗建辉作品

吴秋瑾 / WU QIU JIN

吴秋瑾作品(局部)

许义法 / XU YI FA


许义法作品(局部)

朱国振 / ZHU GUO ZHEN


朱国振作品

张池山 / ZHANG CHI SHAN

张池山作品

张池山作品(局部)

陈添荣 / CHEN TIAN RONG

陈添荣作品
//南平
NAN PING

刘蔚原 / LIU WEI YUAN

刘蔚原作品

张剑峰 / ZHANG JIAN FENG

张剑峰作品

张荣安 / ZHANG RONG AN

张荣安作品

夏红 / XIA HONG

夏红作品
//福州
FU ZHOU

林传生 / LIN CHUAN SHENG

林传生作品

林超凡 / LIN CHAO FAN

林超凡作品

郑楷聪 / ZHENG KAI CONG

郑楷聪作品
//漳州
ZHANG ZHOU

艾青 / AI QING

艾青作品

蔡宝国 / CAI BAO GUO

蔡宝国作品
//龙岩
LONG YAN

范泰和 / FAN TAI HE

范泰和作品

苏友林 / SU YOU LIN


苏友林作品(局部)






《文化生活报》11个连版
—END—
文化生活报社出品
国内统一刊号:CN35-0042
新媒体责编:汪明权
新媒体主编:邹璐