你是否想过为自己的父亲写一封家书
让信纸穿过重山的阻隔
把你的青春、你的韶华带给
那个总是沉默寡言的高大背影
今日恰逢父亲节,就让小诗带你走进
邢福义先生的《寄父家书》
看先生如何在那个通讯不发达的年月里
用自己的深情,用整整37年的光阴
对父亲说的那句沉沉的“爱你”

本书及作者介绍

邢福义先生是华中师范大学资深教授,湖北荆楚社科名家,享誉海内外的语言学家,20世纪现代汉语语法八大家之一, 学界有“南邢北陆(陆俭明)”之称。邢福义先生研究逻辑、修辞、方言、文化语言学、国学和其他问题。发表文章470多篇,出版著作50部,其中个人专著21部,其12卷本《邢福义文集》正在整理之中。他的学术宗旨“立地顶天”“研究植根于泥土,理论生发于事实”,坚持自我创新的道路,追求研究中显现学派意识。数十年来,着力于学术“据点”的建立,着力于研究门路、研究方法的探索,重视研究理念的总结与提升,其研究门路和特点,在语言学界影响最大的是:被概括为“小句中枢”理论和“两个三角”学说。
邢福义先生1935年出生于海南,17岁便来到华中师范大学中文专修科学习。因为路途遥远,经济拮据,他从离乡求学到在中文系工作整整32年不曾回过家乡。在这漫长的时光里,邢先生把自己的人生、自己的青春以及对父亲家人的爱与思念都写在了一封封家书中。
邢先生的父亲将这些家书保留起来,分别装订,写了摘要,在85岁时,寄回给他, 于是先生将自己从1955年到1991年这37年之间写给父亲的240余封家书, 梳理成了这本《寄父家书》,由商务印书馆出版发行。这37年的时间里,先生从求学的少年,到成为中文系教授、成为著名的语言学家;而邢先生的父亲则从中年走到了再也没有气力整理与儿子的书信的那一天。

邢福义父亲整理的家书
顺着承载在信纸笔墨的悠悠岁月,我们可以看到先生针对治学、针对教育、针对人生的思考,也可以看到先生对父亲、对亲人、对故土深深的思恋。
部分信件节选
节选一:
一九五六年(21岁)九月十六日
父亲:
孩子已被留下来在本院本系——华中师院中文系当 “语法学(及修辞学)”助教了。这是多么出人意料的事啊!
前天下午,孩子已搬到教师宿舍来了。学习和生活的环境和条件都非常之好。
孩子在名义上虽然是助教,但实际上,今后两三年内,并不是“教",而是“学”,系统地细致地“学",在“学”到取得一定的成就之后,才能开始“教”。这是每一位助教都要走的道路。
语法学是孩子最喜欢的一门学科,现在取得这样好的学习条件,今后一定能进步得快一些的。 尽管语法这门学科非常深奥、复杂,孩子的基础又差,所以感到担子有些沉重,但是,我知道,“在科学的道路上是没有什么平坦的大道可走的",“伟大的精力是为了伟大的目的而产生的”,困难只能吓倒懦夫。今后孩子作为一个充满前进信心的人,在困难面前所产生的将不是胆怯和后退,而是足以克服困难的勇气和力量。……
祝您迅速恢复健康!
男 义上 1956.9.16晨

20世纪50年代的二号楼(中文系所在地)
节选二:
一九五八年(23岁)二月二十二日
父亲:
……漱谷已在元月四日晚上十一时许顺利地生下了小孩了,是男孩。他的名字:乳名米米,学名孔亮。米米很乖,吃了就睡。好像您说的那样,米米给我们的小家庭带来了新的幸福,但也确实是一个大包袱。米米一生下来, 钱就像流水样地流出去。漱谷的住院费啊,月子中的营养费呀,米米的衣服等方面的费用呀,买东买西的呀,等等,另外还请了一个保姆,每月要给她24元,总而言之,都是钱!不过,《讲话》的连续发表,每月可以拿到十多元,帮了一些忙,将来寄一些钱回家以及买一些东西给您还是不太成问题的。但愿以后这个小家庭给儿和漱谷带来的是前进的动力,而不是障碍。漱谷现在身体还很好,她的产假是56天,三月份才开始工作。去年年底,漱谷的妈妈从湖南衡阳来到这儿,减少了我们很多麻烦,过几天漱谷满月后她就回单位去。
……鱼肝油丸如果能寄就买寄给您。
祝您健康!
儿 义上 1958.2.2

邢福义1968年国庆与妻子儿女
背景为当时唯一的长江大桥
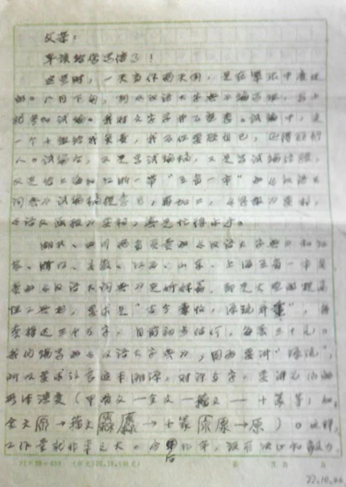
节选三:
一九六一年(26岁)九月二十八日
父亲:
刚才收到您九月九号的来信。一吃完晚饭就上街去准备给您买太平天国史料和粤曲,可惜书店关了门,白跑了!
不长前儿曾写一信给您,估计现在您也收到了。
儿的寒衣问题已经解决了。——棉衣拿1956年做的那件反面改制;棉裤,拼凑上七尺布票买了七尺布做面,用一条旧裤子做里,里面的棉花是用一截旧棉被弹成的。这样一来,棉衣也好,棉裤也好,又可以穿上个两三年。您说您又把棉衣服寄回来,儿很是着急。儿已用不着,特别是黑龙江那么冷的地方不多穿一点怎么行?儿还常常担心,您年纪这么大,寒冬一到,没有足够的寒衣怎么能过得去呢!急急写这封信,是要阻止您把棉衣寄来,如果您已寄来,那将来还是要寄回给您的。
……
冬天一来,您的手指更难保护,儿很是为您担心。
据您前次的来信,您是又把钱寄来了的,但现在还未收到。如果您还未寄出,您就留着用吧,冬天一来,您是更需要用钱的。
祝您健康!
儿 福义 1961.9.28晚

从左到右:哥哥、父亲、福义
节选四:
一九七八年(43岁)五月二十一日
父亲:
湖北省科学大会,于本月19日开幕。在会议期间,宜布湖北省各高等院校提升教授、副教授的名单。先分别在各个学教宣布,然后,可能过几天以后,在报纸上公布。
现在,向您,向家中大小报喜。
昨天,学院根据省委组织部和省革委会教育局的通知,已正式宣布,把我越级提升副教授。
我的提升,是很不容易的。
……
提升了,担子重了,社会工作也可能增多。
“五四”那天,*党**委让我给全院青年教师和学生做了一个关于向科学进军的报告,我讲了这么一个题目:“决心、习惯和方法”。我估计,在报纸上公布以后,这类事恐怕也多起来了。
别的话,以后再说吧。我现在是坐在长江大桥旁边的草地上。近来,凡是假日、节日,我总要从家里跑出来,找个地方坐着写东西。这是因为,节假日总是有人来访,有时一天得接待八九个人,实在受不了。
提升事,告诉各亲人就行。不必宣扬。这类事,是容易引起嫉妒的。
……
祝您、祝家中大小健康、快乐!
儿 福义 1978.5.21 星期日

从左至右分别为1955年、1975年、1977年的三封信
节选五:
一九九一年(56岁)十月二十九日
父亲:
来信都已收到。
前几天连续给您寄了两样东西。二是画册《华中师范大学》,二是杂志《语言教学与研究》,没挂号,但愿不会丢失。
寄《华中师范大学》两册,是想让您和亲人们了解了解我们学校的一些情况。寄《语言教学与研究》,是想让您了解80年代以来我的语法研究的一些情况。
双语双方言现象,指的是一个地方人们同时说两种语言或两种方言的现象。怎样正确对待这种现象,.怎样正确解释这种现象,都有很多问题需要研究。
“叙”跟“序”同义。但近年来“序“”给人的印象过于“严厉",写作分工之类的意思不大好写在“序”里。 因此我换用“叙”字,一方面让它代表“序”,另一方面又带上点“叙述”的意思。词义是发展的。这么使用“叙"字,有特殊的作用。
……
米米又几个月没来信了。可能是很忙。
昭昭目前的情况还比较好。有工作,而且干得很起劲。但愿她能平平稳稳地走下去,顺顺当当地好起来。
漱谷还在职业高中上课。每周6节。
我总是忙。多了一个博土导师的头衔,钱没有增加一角,事情却增加不少。——不过, 人生知足常乐。我感到活得很充实。
向家中大小请安问好!
祝您康泰!
儿 福义 1991.10.29

父亲在翻看邢福义主编的《现代汉语》,1991年11月
《寄父家书》书评
1

这本《寄父家书》不同一般。其一,一般家书都是长辈给晚辈的书信集,而《寄父家书》是福义兄给他父亲的书信集;其二,《寄父家书》收录了福义兄自1955年至1991年间寄给他父亲的240余封家书,而他父亲居然都完整地保存着,以至能结集出版,这实在少有。
这些家书深刻反映了福义兄及其家人37年间的人生历程和家庭变化,也真实地展示了福义兄的学术生涯以及体现在他身上的对父亲之大爱的中华美德;同时也折射了与福义兄同龄的一代知识分子身处那特定时代的步履留痕,折射了这一代知识分子的坚守担当与家国情怀。福义兄不愧为我们汉语学界之楷模!
——陆俭明 北京大学教授
2

这本家书的语言虽然平易朴实,但字里行间都透出了浓浓的父子深情。书信当中体现的家国情怀、家风家教,这自不必说。我历史背景出身,更看重的是家庭父子两代跨越长时间的书信往来。它记录的是老百姓的生活史、家庭生活史,从这个层面反映出来的是中国社会史。家书虽是小切口,但反映了大时代的变迁。一代人的成长,要用另一代人的足迹牵引,感谢邢福义先生开了一个很好的头儿。
——于殿利 商务印书馆总经理
3

这本书虽是作者与父亲的家信,但字里行间流露出的都是邢先生对祖国的热爱、对学术的执着、对长辈的孝敬、对师友的感激。赤子之心、感恩之情、奋进之力,可以说满满的正能量,是一本爱国教育、家风教育和励志教育的鲜活教材。从这本书中我们可以看出一个学术大师的成长与社会磨砺、家庭教育,师友帮助,以及个人奋斗的密切关系。
——黄永林 华中师范大学原副校长
4

针对《寄父家书》的价值,它是一部家书,又是一部“史书”,在我看来,它还是一部“情书”。说它是“史书”,是因为它记录了一位语言学家成长的历史,反映了上个世纪下半叶中国语言学的发展轨迹;同时还折射出那个时代中国知识分子的家国情怀和中国社会的历史变迁。说它是“情书”,是因为书中反映了父子之情、兄弟之情、师生之情、亲友之情。《寄父家书》客观地反映了邢福义先生的为学和为人,每篇家书都浸透着一个“实”字,展现出邢先生鲜活的人生。我想若干年后,还会不断有人读它,因为它真实,因为它是“史书”,是“情书”,能够满足人们求真的欲望,能够寄托人们对真情的追求。
——汪国胜 华中师范大学语言研究所所长、教授
5

家书是“最温柔的艺术”,也是家庭和社会的教科书;家书是特殊的文化传承,传承着家族与民族的文化基因。家书多为长辈写给晚辈,如《颜氏家训》、《傅雷家书》等,而邢福义先生的《寄父家书》则是晚辈写给长辈,这另一种“家书”,自有其独特的韵味与价值。《寄父家书》集中体现了邢福义先生三种品格和精神,一是恪守孝悌伦常、践行男儿担当,二是踏踏实实做事、堂堂正正做人,三是克服艰难困苦,矢志不渝“赶路”。
捧读《寄父家书》,是一次陪着邢先生穿越时空的游历,是在倾听一位学者的父子对话,也是一次身心洗礼。《寄父家书》是不可多得的“家书”,也是不可多得的“史书”;是家族的一笔财富,更是社会的一笔财富。我们分享着邢福义先生对家庭、对学业、对教育、对社会的特殊感受,同时也是在体会那个时代知识分子、那个时代中国人的心结、心绪和心路。
——李宇明 北京语言大学教授
6

《寄父家书》反映着父爱如山,父子情深。 这些书信不仅记录了邢先生的人生经历,还勾勒了他从20岁的翩翩学子到著名语言学家的成长之路,显现了当代中国知识分子的风雨人生和家国情怀。
读者看到,书信不是记账流水,而是镜头、画面和片段,其中有其读书、工作、学习收获、人生进步及与家人的交往。其中包括修课、考试、阅读、授课、恋爱、结婚、育儿、出国、任职,对劳教中的父亲给予鼓励,引经据典、认真严谨地纠正自己偶尔所犯的生造词错误……细细读来,该书不仅是作者成长和追求专业进步的“岁月留痕”,而且也是一部人生成长和家庭文化的“百科全书”。尽管家信所写的家事、国事距今已有几十个年头了,但有不少事情的处理和对待,立志和坚守,至今在学生看来,其指导性甚至是可推广性仍光泽不减。
——肖国政 中国语文现代化学会副会长
武汉大学文学院教授
7

我与邢福义教授是老朋友、老同仁和同行,至今相交数十年。在与刑福义教授交往的过程中我深深地感受到他育人治学的重要特点,我将其概括为24个字:“品德高尚,富有爱心,治学勤奋,成就卓著,做事认真,讲求实效”,这是我个人的意见。
我拿到这本《寄父家书》以后,整整3天大概地读了一遍,心里很不平静,有很多感受,也有很多回忆和很多感悟。家书主要是邢福义教授写给他父亲的240余封家信,内容丰富,体现出一位知识分子,准确地说是一位学者,从青年中年时期走过的人生历程,还有邢福义教授坚定的追求和顽强奋斗的具体成果。家书里处处都体现出这样的具体内容,也体现这些追求奋斗所取得的重要成就及贡献。家书中有许多重要的事实,还显现出很多深刻的哲理,对我们,特别是对青年学子有重要的启示,值得我们认真阅读。
——陈章太 教育部语言文字应用研究所研究员
8

我和邢福义先生是多年的老朋友。用“相知无远近,万里尚为邻”,最能描述我和他的交情。我曾对他的学生说:邢先生是“有情有义”的人。邢先生的身上,充分表现了“天行健,君子以自强不息”“地势坤,君子以厚德载物”的中华风骨。就是他的这种人格魅力,让我和他保持了“万里尚为邻”的精神联系。
接到邢先生签名的《寄父家书》,才知道,他给父亲写了37年的信。这些家书,除了邢先生的父子亲情,人格魅力之外,也处处流露他的文才。邢先生的文采,是从平实的文字中流露出来的。这种自然的文字美,在现在中国的语言研究者身上,是少见的。邢先生的父亲将这些家书保留起来,分别装订,写了摘要,在85岁时,寄回给他。 这是世上罕见的父子情。
——周清海 新加坡国立大学兼任教授
9

我和邢福义先生相识40年左右,邢先生是我的良师益友。当我收到邢福义先生亲笔签赠的《寄父家书》时,有些诧异,心里想这要有多少封信才能成书啊!我迫不及待地翻看全书,那黄色的信纸一张张整整齐齐摞在那里的照片,首先映入眼帘。这是怎样的儿子,又是怎样的父亲!这张照片已经令我眼眶湿润。
37年的240多封信,父亲把它们一张张铺平收集好,按年编排,写上重点,最后作为礼物送给儿子。这样的父亲,没有见过。父亲在这37年里,几经多地辗转,每每收拾行装,这些信就是他最宝贵的财产。
这本《寄父家书》,它的意义远在家书之外。它告诉人们,作父母的,作子女的,应该如何互相关爱,互相疼惜,应该如何互相鼓励,互相扶持。这是人们最宝贵的精神财富。这说的似乎是家事,可家事又何曾与国事、天下事分开过呢!
——田小琳 香港岭南大学教授
邢福义先生与父亲37年的信件
一封封,均饱含着对故土和父亲的深情
和对人生、对青春的真诚记录

今天的山民们在为深爱的父亲
送上祝福的同时,别忘了告诉他
武汉此刻的天气和你的心情
还有最近发生的事情
希望你们可以一直这样坚持下去
因为这样仿佛是在说
“纵使相隔千里,我的青春和人生,
你也能一直都在。”

【推荐阅读】
2019华师最美毕业照来啦!我们的青春不散场!
揭秘!华师高考语文阅卷现场直击
@华师,做完这30件事我们再和你好好告别!
华中师范大学2019年本科招生计划公布!(附政策解读及报考建议)
报名倒计时 | 华中师大2019优秀大学生夏令营信息大汇总!
亲启!这封信,关系着小诗为你守护四年的秘密!
《新闻联播》和《人民日报》齐齐聚焦华师,为何?
秀!华师官微押中2019高考作文题,接着发起满分作文挑战……
华中师大宣传部舆情与新媒体中心
责任编辑:任丽洁
文字:任丽洁 黄淳
图片及部分内容来自《寄父家书》、《寄父家书》出版座谈会、《光明日报》及网络
投稿邮箱:[email protected]
欢迎大家积极来稿
