一、俗名
无机部分:
纯碱、苏打、天然碱 、口碱:Na2CO3 小苏打:NaHCO3 大苏打:Na2S2O3 石膏(生石膏):CaSO4.2H2O 熟石膏:2CaSO4·.H2O 莹石:CaF2 重晶石:BaSO4(无毒) 碳铵:NH4HCO3 石灰石、大理石:CaCO3 生石灰:CaO 食盐:NaCl 熟石灰、消石灰:Ca(OH)2 芒硝:Na2SO4·7H2O (缓泻剂) 烧碱、火碱、苛性钠:NaOH 绿矾:FaSO4·7H2O 干冰:CO2 明矾:KAl (SO4)2·12H2O 漂*粉白**:Ca (ClO)2 、CaCl2(混和物) 泻盐:MgSO4·7H2O 胆矾、蓝矾:CuSO4·5H2O 双氧水:H2O2 皓矾:ZnSO4·7H2O 硅石、石英:SiO2 刚玉:Al2O3 水玻璃、泡花碱、矿物胶:Na2SiO3 铁红、铁矿:Fe2O3 磁铁矿:Fe3O4 黄铁矿、硫铁矿:FeS2 铜绿、孔雀石:Cu2 (OH)2CO3 菱铁矿:FeCO3 赤铜矿:Cu2O 波尔多液:Ca (OH)2和CuSO4 石硫合剂:Ca (OH)2和S 玻璃的主要成分:Na2SiO3、CaSiO3、SiO2 过磷酸钙(主要成分):Ca (H2PO4)2和CaSO4 重过磷酸钙(主要成分):Ca (H2PO4)2 天然气、沼气、坑气(主要成分):CH4 水煤气:CO和H2 硫酸亚铁铵(淡蓝绿色):Fe (NH4)2 (SO4)2 溶于水后呈淡绿色
光化学烟雾:NO2在光照下产生的一种有毒气体 王水:浓HNO3与浓HCl按体积比1:3混合而成。
*热剂铝**:Al + Fe2O3或其它氧化物。 尿素:CO(NH2) 2
有机部分:
氯仿:CHCl3 电石:CaC2 电石气:C2H2 (乙炔) *NTT**:三硝基甲苯 酒精、乙醇:C2H5OH
氟氯烃:是良好的制冷剂,有毒,但破坏O3层。 醋酸:冰醋酸、食醋 CH3COOH
裂解气成分(石油裂化):烯烃、烷烃、炔烃、H2S、CO2、CO等。 甘油、丙三醇 :C3H8O3
焦炉气成分(煤干馏):H2、CH4、乙烯、CO等。 石炭酸:苯酚 蚁醛:甲醛 HCHO
福尔马林:35%—40%的甲醛水溶液 蚁酸:甲酸 HCOOH
葡萄糖:C6H12O6 果糖:C6H12O6 蔗糖:C12H22O11 麦芽糖:C12H22O11 淀粉:(C6H10O5)n
硬脂酸:C17H35COOH 油酸:C17H33COOH 软脂酸:C15H31COOH
草酸:乙二酸 HOOC—COOH 使蓝墨水褪色,强酸性,受热分解成CO2和水,使KMnO4酸性溶液褪色。
二、 颜色
铁:铁粉是黑色的;一整块的固体铁是银白色的。 Fe2+——浅绿色 Fe3O4——黑色晶体
Fe(OH)2——白色沉淀 Fe3+——黄色 Fe (OH)3——红褐色沉淀 Fe (SCN)3——血红色溶液
FeO——黑色的粉末 Fe (NH4)2(SO4)2——淡蓝绿色 Fe2O3——红棕色粉末 FeS——黑色固体
铜:单质是紫红色 Cu2+——蓝色 CuO——黑色 Cu2O——红色 CuSO4(无水)—白色 CuSO4·5H2O——蓝色 Cu2 (OH)2CO3 —绿色 Cu(OH)2——蓝色 [Cu(NH3)4]SO4——深蓝色溶液
BaSO4 、BaCO3 、Ag2CO3 、CaCO3 、AgCl 、 Mg (OH)2 、三溴苯酚均是白色沉淀
Al(OH)3 白色絮状沉淀 H4SiO4(原硅酸)白色胶状沉淀
Cl2、氯水——黄绿色 F2——淡黄绿色气体 Br2——深红棕色液体 I2——紫黑色固体
HF、HCl、HBr、HI均为无色气体,在空气中均形成白雾
CCl4——无色的液体,密度大于水,与水不互溶 KMnO4--——紫色 MnO4-——紫色
Na2O2—淡黄色固体 Ag3PO4—黄色沉淀 S—黄色固体 AgBr—浅黄色沉淀
AgI—黄色沉淀 O3—淡蓝色气体 SO2—无色,有剌激性气味、有毒的气体
SO3—无色固体(沸点44.8 0C) 品红溶液——红色 氢氟酸:HF——腐蚀玻璃
N2O4、NO——无色气体 NO2——红棕色气体 NH3——无色、有剌激性气味气体
三、 现象:
1、铝片与盐酸反应是放热的,Ba(OH)2与NH4Cl反应是吸热的;
2、Na与H2O(放有酚酞)反应,熔化、浮于水面、转动、有气体放出;(熔、浮、游、嘶、红)
3、焰色反应:Na 黄色、K紫色(透过蓝色的钴玻璃)、Cu 绿色、Ca砖红、Na+(黄色)、K+(紫色)。
4、Cu丝在Cl2中燃烧产生棕色的烟; 5、H2在Cl2中燃烧是苍白色的火焰;
6、Na在Cl2中燃烧产生大量的白烟; 7、P在Cl2中燃烧产生大量的白色烟雾;
8、SO2通入品红溶液先褪色,加热后恢复原色;
9、NH3与HCl相遇产生大量的白烟; 10、铝箔在氧气中激烈燃烧产生刺眼的白光;
11、镁条在空气中燃烧产生刺眼白光,在CO2中燃烧生成白色粉末(MgO),产生黑烟;
12、铁丝在Cl2中燃烧,产生棕色的烟; 13、HF腐蚀玻璃:4HF + SiO2 = SiF4 + 2H2O
14、Fe(OH)2在空气中被氧化:由白色变为灰绿最后变为红褐色;
15、在常温下:Fe、Al 在浓H2SO4和浓HNO3中钝化;
16、向盛有苯酚溶液的试管中滴入FeCl3溶液,溶液呈紫色;苯酚遇空气呈粉红色。
17、蛋白质遇浓HNO3变黄,被灼烧时有烧焦羽毛气味;
18、在空气中燃烧:S——微弱的淡蓝色火焰 H2——淡蓝色火焰 H2S——淡蓝色火焰
CO——蓝色火焰 CH4——明亮并呈蓝色的火焰 S在O2中燃烧——明亮的蓝紫色火焰。
19.特征反应现象:

20.浅黄色固体:S或Na2O2或AgBr
21.使品红溶液褪色的气体:SO2(加热后又恢复红色)、Cl2(加热后不恢复红色)
22.有色溶液:Fe2+(浅绿色)、Fe3+(黄色)、Cu2+(蓝色)、MnO4-(紫色)
有色固体:红色(Cu、Cu2O、Fe2O3)、红褐色[Fe(OH)3] 黑色(CuO、FeO、FeS、CuS、Ag2S、PbS)
蓝色[Cu(OH)2] 黄色(AgI、Ag3PO4) 白色[Fe(0H)2、CaCO3、BaSO4、AgCl、BaSO3]
有色气体:Cl2(黄绿色)、NO2(红棕色)
四、 考试中经常用到的规律:
1、溶解性规律——见溶解性表; 2、常用酸、碱指示剂的变色范围:
| 指示剂 | PH的变色范围 | ||
| 甲基橙 | <3.1红色 | 3.1——4.4橙色 | >4.4黄色 |
| 酚酞 | <8.0无色 | 8.0——10.0浅红色 | >10.0红色 |
| 石蕊 | <5.1红色 | 5.1——8.0紫色 | >8.0蓝色 |
3、在惰性电极上,各种离子的放电顺序:
阴极(夺电子的能力):Au3+ >Ag+>Hg2+ >Cu2+ >Pb2+ >Fa2+ >Zn2+ >H+ >Al3+>Mg2+ >Na+ >Ca2+ >K+
阳极(失电子的能力):S2- >I- >Br– >Cl- >OH- >含氧酸根
关注:若用金属作阳极,电解时阳极本身发生氧化还原反应(Pt、Au除外)
4、双水解离子方程式的书写:(1)左边写出水解的离子,右边写出水解产物;
(2)配平:在左边先配平电荷,再在右边配平其它原子;(3)H、O不平则在那边加水。
例:当Na2CO3与AlCl3溶液混和时: 3 CO32- + 2Al3+ + 3H2O = 2Al(OH)3↓ + 3CO2↑
5、写电解总反应方程式的方法:(1)分析:反应物、生成物是什么;(2)配平。
例:电解KCl溶液:2KCl + 2H2O == H2↑+ Cl2↑+ 2KOH 配平:2KCl + 2H2O == H2↑+ Cl2↑+ 2KOH
6、将一个化学反应方程式分写成二个电极反应的方法:(1)按电子得失写出二个半反应式;(2)再考虑反应时的环境(酸性或碱性);(3)使二边的原子数、电荷数相等。
例:蓄电池内的反应为:Pb + PbO2 + 2H2SO4 = 2PbSO4 + 2H2O 试写出作为原电池(放电)时的电极反应。
写出二个半反应: Pb –2e- → PbSO4 PbO2 +2e- → PbSO4
分析:在酸性环境中,补满其它原子: 应为: 负极:Pb + SO42- -2e- = PbSO4
正极: PbO2 + 4H+ + SO42- +2e- = PbSO4 + 2H2O
关注:当是充电时则是电解,电极反应则为以上电极反应的倒转:
为: 阴极:PbSO4 +2e- = Pb + SO42- 阳极:PbSO4 + 2H2O -2e- = PbO2 + 4H+ + SO42-
7、在解计算题中常用到的恒等:原子恒等、离子恒等、电子恒等、电荷恒等、电量恒等,用到的方法有:质量守恒、差量法、归一法、极限法、关系法、十字交法 和估算法。(非氧化还原反应:原子守恒、电荷 平衡、物料平衡用得多,氧化还原反应:电子守恒用得多)
8、电子层结构相同的离子,核电荷数越多,离子半径越小;
9、晶体的熔点:原子晶体 >离子晶体 >分子晶体 中学学到的原子晶体有: Si、SiC 、SiO2=和金刚石。 原子晶体的熔点的比较是以原子半径为依据的: 金刚石 > SiC > Si (因为原子半径:Si> C> O).
10、分子晶体的熔、沸点:组成和结构相似的物质,分子量越大熔、沸点越高。
11、胶体的带电:一般说来,金属氢氧化物、金属氧化物的胶体粒子带正电,非金属氧化物、金属硫化物 的胶体粒子带负电。
12、氧化性:MnO4- >Cl2 >Br2 >Fe3+ >I2 >S=4(+4价的S) 例: I2 +SO2 + H2O = H2SO4 + 2HI
13、含有Fe3+的溶液一般呈酸性。 14、能形成氢键的物质:H2O 、NH3 、HF、CH3CH2OH 。
15、*水氨**(乙醇溶液一样)的密度小于1,浓度越大,密度越小,硫酸的密度大于1,浓度越大,密度越大,98%的浓硫酸的密度为:1.84g/cm3。
16、离子是否共存:(1)是否有沉淀生成、气体放出;(2)是否有弱电解质生成;(3)是否发生氧化还原反应;(4)是否生成络离子[Fe(SCN)2、Fe(SCN)3、Ag(NH3)+、[Cu(NH3)4]2+ 等];(5)是否发生双水解。
17、地壳中:含量最多的金属元素是— Al 含量最多的非金属元素是—O HClO4(高氯酸)—是最强的酸
18、熔点最低的金属是Hg (-38.9C。),;熔点最高的是W(钨3410c);密度最小(常见)的是K;密度最大(常见)是Pt。
19、雨水的PH值小于5.6时就成为了酸雨。
20、有机酸酸性的强弱:乙二酸 >甲酸 >苯甲酸 >乙酸 >碳酸 >苯酚 >HCO3-
21、有机鉴别时,关注用到水和溴水这二种物质。
例:鉴别:乙酸乙酯(不溶于水,浮)、溴苯(不溶于水,沉)、乙醛(与水互溶),则可用水。
22、取代反应包括:卤代、硝化、磺化、卤代烃水解、酯的水解、酯化反应等;
23、最简式相同的有机物,不论以何种比例混合,只要混和物总质量一定,完全燃烧生成的CO2、H2O及耗O2的量是不变的。恒等于单一成分该质量时产生的CO2、H2O和耗O2量。
24、可使溴水褪色的物质如下,但褪色的原因各自不同:烯、炔等不饱和烃(加成褪色)、苯酚(取代褪色)、乙醇、醛、甲酸、草酸、葡萄糖等(发生氧化褪色)、有机溶剂[CCl4、氯仿、溴苯、CS2(密度大于水),烃、苯、苯的同系物、酯(密度小于水)]发生了萃取而褪色。
25、能发生银镜反应的有:醛、甲酸、甲酸盐、甲酰铵(HCNH2O)、葡萄溏、果糖、麦芽糖,均可发生银镜反应。(也可同Cu(OH)2反应) 计算时的关系式一般为:—CHO —— 2Ag
关注:当银氨溶液足量时,甲醛的氧化特殊: HCHO —— 4Ag ↓ + H2CO3
反应式为:HCHO +4[Ag(NH3)2]OH = (NH4)2CO3 + 4Ag↓ + 6NH3 ↑+ 2H2O
26、胶体的聚沉方法:(1)加入电解质;(2)加入电性相反的胶体;(3)加热。
常见的胶体:液溶胶:Fe(OH)3、AgI、牛奶、豆浆、粥等;气溶胶:雾、云、烟等;固溶胶:有色玻璃、烟水晶等。
27、污染大气气体:SO2、CO、NO2、NO,其中SO2、NO2形成酸雨。
28、环境污染:大气污染、水污染、土壤污染、食品污染、固体废弃物污染、噪声污染。工业三废:废渣、废水、废气。
29、在室温(20C。)时溶解度在10克以上——易溶;大于1克的——可溶;小于1克的——微溶;小于0.01克的——难溶。
30、人体含水约占人体质量的2/3。地面淡水总量不到总水量的1%。当今世界三大矿物燃料是:煤、石油、天然气。石油主要含C、H地元素。
31、生铁的含C量在:2%——4.3% 钢的含C量在:0.03%——2% 。粗盐:是NaCl中含有MgCl2和 CaCl2,因为MgCl2吸水,所以粗盐易潮解。浓HNO3在空气中形成白雾。固体NaOH在空气中易吸水形成溶液。
32、气体溶解度:在一定的压强和温度下,1体积水里达到饱和态势时气体的体积。
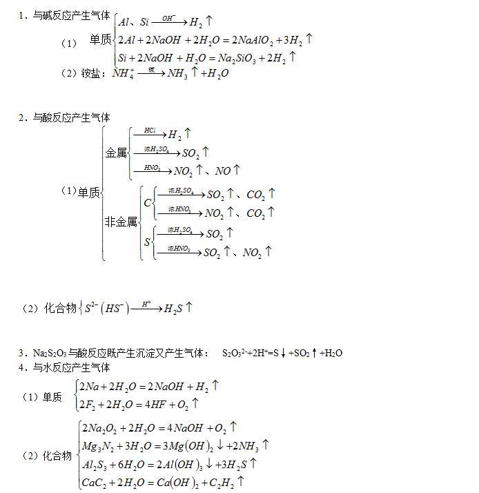
五、无机反应中的特征反应





六、常见的重要氧化剂、还原剂
| 氧化剂 | 还原剂 |
| 活泼非金属单质:X2、O2、S | 活泼金属单质:Na、Mg、Al、Zn、Fe某些非金属单质: C、H2、S |
| 高价金属离子:Fe3+、Sn4+不活泼金属离子:Cu2+、Ag+其它:[Ag(NH3)2]+、新制Cu(OH)2 | 低价金属离子:Fe2+、Sn2+非金属的阴离子及其化合物:S2-、H2S、I -、HI、NH3、Cl-、HCl、Br-、HBr |
| 含氧化合物:NO2、N2O5、MnO2、Na2O2、H2O2、HClO、HNO3、浓H2SO4、NaClO、Ca(ClO)2、KClO3、KMnO4、王水 | 低价含氧化合物:CO、SO2、H2SO3、Na2SO3、Na2S2O3、NaNO2、H2C2O4、含-CHO的有机物:醛、甲酸、甲酸盐、甲酸某酯、葡萄糖、麦芽糖等 |
既作氧化剂又作还原剂的有:S、SO32-、HSO3-、H2SO3、SO2、NO2-、Fe2+及含-CHO的有机物
七、反应条件对氧化-还原反应的影响.


八、离子共存问题
离子在溶液中能否大量共存,涉及到离子的性质及溶液酸碱性等综合知识。凡能使溶液中因反应发生使有关离子浓度显著改变的均不能大量共存。如生成难溶、难电离、气体物质或能转变成其它种类的离子(包括氧化一还原反应).
一般可从以下几方面考虑
1.弱碱阳离子只存在于酸性较强的溶液中.如Fe3+、Al3+、Zn2+、Cu2+、NH4+、Ag+ 等均与OH-不能
大量共存.
2.弱酸阴离子只存在于碱性溶液中。如CH3COO-、F-、CO32-、SO32-、S2-、PO43-、 AlO2-均与H+
不能大量共存.
3.弱酸的酸式阴离子在酸性较强或碱性较强的溶液中均不能大量共存.它们遇强酸(H+)会生成弱
酸分子;遇强碱(OH-)生成正盐和水. 如:HSO3-、HCO3-、HS-、H2PO4-、HPO42-等
4.若阴、阳离子能相互结合生成难溶或微溶性的盐,则不能大量共存.如:Ba2+、Ca2+与CO32-、
SO32-、 PO43-、SO42-等;Ag+与Cl-、Br-、I- 等;Ca2+与F-,C2O42- 等
5.若阴、阳离子发生双水解反应,则不能大量共存.如:Al3+与HCO3-、CO32-、HS-、S2-、AlO2-、ClO-、
SiO32- 等Fe3+与HCO3-、CO32-、AlO2-、ClO-、SiO32-、C6H5O-等;NH4+与AlO2-、SiO32-、ClO-、CO32-等
6.若阴、阳离子能发生氧化一还原反应则不能大量共存.如:Fe3+与I-、S2-;MnO4-(H+)与I-、Br-、
Cl-、S2-、SO32-、Fe2+等;NO3-(H+)与上述阴离子;S2-、SO32-、H+
7.因络合反应或其它反应而不能大量共存
如:Fe3+与F-、CN-、SCN-等; H2PO4-与PO43-会生成HPO42-,故两者不共存.
九、离子方程式判断常见错误及原因分析
1 .离子方程式书写的基本规律要求:(写、拆、删、查四个步骤来写)
(1)合事实:离子反应要符合客观事实,不可臆造产物及反应。
(2)式正确:化学式与离子符号使用正确合理。
(3)号实际:“=”“”“→”“↑”“↓”等符号符合实际。
(4)两守恒:两边原子数、电荷数必须守恒(氧化还原反应离子方程式中氧化剂得电子总数与还原剂失电子总数要相等)。
(5)明类型:分清类型,关注少量、过量等。
(6)细检查:结合书写离子方程式过程中易出现的错误,细心检查。
例如:(1)违背反应客观事实
如:Fe2O3与氢碘酸:Fe2O3+6H+=2 Fe3++3H2O错因:忽视了Fe3+与I-发生氧化一还原反应
(2)违反质量守恒或电荷守恒定律及电子得失平衡
如:FeCl2溶液中通Cl2 :Fe2++Cl2=Fe3++2Cl- 错因:电子得失不相等,离子电荷不守恒
(3)混淆化学式(分子式)和离子书写情势
如:NaOH溶液中通入HI:OH-+HI=H2O+I-错因:HI误认为弱酸.
(4)反应条件或环境不分:
如:次氯酸钠中加浓HCl:ClO-+H++Cl-=OH-+Cl2↑错因:强酸制得强碱
(5)忽视一种物质中阴、阳离子配比.
如:H2SO4

溶液加入Ba(OH)2溶液:Ba2++OH-+H++SO42-=BaSO4↓+H2O
正确:Ba2++2OH-+2H++SO42-=BaSO4↓+2H2O
(6)“=”“ D ”“↑”“↓”符号运用不当
如:Al3++3H2O=Al(OH)3↓+3H+ 关注:盐的水解一般是可逆的,Al(OH)3量少,故不能打“↓”
2. 判断离子共存时,审题一定要关注题中给出的附加条件。
酸性溶液(H+)、碱性溶液(OH-)、能在加入铝粉后放出可燃气体的溶液、由水电离出的H+或OH-= 1×10-amol/L(a>7或a<7)的溶液等。
有色离子MnO4-,Fe3+,Fe2+,Cu2+,Fe(SCN)2+。MnO4-,NO3-等在酸性条件下具有强氧化性。
S2O32-在酸性条件下发生氧化还原反应:S2O32-+2H+=S↓+SO2↑+H2O
关注题目要求“一定大量共存”还是“可能大量共存”;“不能大量共存”还是“一定不能大量共存”。
看是否符合题设条件和要求,如“过量”、“少量”、“适量”、“等物质的量”、“任意量”以及滴加试剂的先后顺序对反应的影响等。
十、中学化学实验操作中的七原则
1.“从下往上”原则。2.“从左到右”原则。3.先“塞”后“定”原则。4.“固体先放”原则,“液体后加”原则。5.先验气密性(装入药口前进行)原则。6.后点酒精灯(所有装置装完后再点酒精灯)原则。7.连接导管通气是长进短出原则。
十一、特殊试剂的存放和取用10例
1.Na、K:隔绝空气;防氧化,保存在煤油中(或液态烷烃中),(Li用石蜡密封保存)。用镊子取,玻片上切,滤纸吸煤油,剩余部分随即放人煤油中。
2.白磷:保存在水中,防氧化,放冷暗处。镊子取,立即放入水中用长柄小刀切取,滤纸吸干水分。
3.液Br2:有毒易挥发,盛于磨口的细口瓶中,并用水封。瓶盖严密。
4.I2:易升华,且具有强烈刺激性气味,应保存在用蜡封好的瓶中,放置低温处。
5.浓HNO3,AgNO3:见光易分解,应保存在棕色瓶中,放在低温避光处。
6.固体烧碱:易潮解,应用易于密封的干燥大口瓶保存。瓶口用橡胶塞塞严或用塑料盖盖紧。
7.NH3·H2O:易挥发,应密封放低温处。
8.C6H6、、C6H5—CH3、CH3CH2OH、CH3CH2OCH2CH3:易挥发、易燃,密封存放低温处,并远离火源。
9.Fe2+盐溶液、H2SO3及其盐溶液、氢硫酸及其盐溶液:因易被空气氧化,不宜长期放置,应现用现配。
10.卤水、石灰水、银氨溶液、Cu(OH)2悬浊液等,都要随配随用,不能长时间放置。
十二、中学化学中与“0”有关的实验问题4例及小数点问题
1.滴定管最上面的刻度是0。小数点为两位 2.量筒最下面的刻度是0。小数点为一位
3.温度计中间刻度是0。小数点为一位 4.托盘天平的标尺中央数值是0。小数点为一位
十三、能够做喷泉实验的气体
1、NH3、HCl、HBr、HI等极易溶于水的气体均可做喷泉实验。
2、CO2、Cl2、SO2与氢氧化钠溶液; 3、C2H2、C2H2与溴水反应
十四、比较金属性强弱的依据
金属性:金属气态原子失去电子能力的性质;
金属活动性:水溶液中,金属原子失去电子能力的性质。
注:金属性与金属活动性并非同一概念,两者有时表现为不一致,
1、同周期中,从左向右,随着核电荷数的增加,金属性减弱;
同主族中,由上到下,随着核电荷数的增加,金属性增强;
2、依据最高价氧化物的水化物碱性的强弱;碱性愈强,其元素的金属性也愈强;
3、依据金属活动性顺序表(极少数例外);
4、常温下与酸反应剧烈程度;5、常温下与水反应的剧烈程度;
6、与盐溶液之间的置换反应;7、高温下与金属氧化物间的置换反应。
十五、比较非金属性强弱的依据
1、同周期中,从左到右,随核电荷数的增加,非金属性增强;
同主族中,由上到下,随核电荷数的增加,非金属性减弱;
2、依据最高价氧化物的水化物酸性的强弱:酸性愈强,其元素的非金属性也愈强;
3、依据其气态氢化物的稳定性:稳定性愈强,非金属性愈强;
4、与氢气化合的条件;
5、与盐溶液之间的置换反应;
6、其他,例:2Cu+SCu2S Cu+Cl2CuCl2 所以,Cl的非金属性强于S。
十六、“10电子”、“18电子”的微粒小结
1.“10电子”的微粒:
| 分子 | 离子 | |
| 一核10电子的 | Ne | N3−、O2−、F−、Na+、Mg2+、Al3+ |
| 二核10电子的 | HF | OH−、 |
| 三核10电子的 | H2O | NH2− |
| 四核10电子的 | NH3 | H3O+ |
| 五核10电子的 | CH4 | NH4+ |
2.“18电子”的微粒
| 分子 | 离子 | |
| 一核18电子的 | Ar | K+、Ca2+、Cl‾、S2− |
| 二核18电子的 | F2、HCl | HS− |
| 三核18电子的 | H2S | |
| 四核18电子的 | PH3、H2O2 | |
| 五核18电子的 | SiH4、CH3F | |
| 六核18电子的 | N2H4、CH3OH |
注:其它诸如C2H6、N2H5+、N2H62+等亦为18电子的微粒。
十七、微粒半径的比较:
1.判断的依据 电子层数: 相同条件下,电子层越多,半径越大。
核电荷数: 相同条件下,核电荷数越多,半径越小。
最外层电子数 相同条件下,最外层电子数越多,半径越大。
2.具体规律:1、同周期元素的原子半径随核电荷数的增大而减小(稀有气体除外)
如:Na>Mg>Al>Si>P>S>Cl.
2、同主族元素的原子半径随核电荷数的增大而增大。如:Li<Na<K<Rb<Cs
3、同主族元素的离子半径随核电荷数的增大而增大。如:F--<Cl--<Br--<I--
4、电子层结构相同的离子半径随核电荷数的增大而减小。如:F-> Na+>Mg2+>Al3+
5、同一元素不同价态的微粒半径,价态越高离子半径越小。如Fe>Fe2+>Fe3+
十八、各种“水”汇集
1.纯净物:重水D2O;超重水T2O;蒸馏水H2O;双氧水H2O2;水银Hg; 水晶SiO2。
2.混合物:*水氨**(分子:NH3、H2O、NH3·H2O;离子:NH4+、OH‾、H+)
氯水(分子:Cl2、H2O、HClO;离子:H+、Cl‾、ClO‾、OH‾) 苏打水(Na2CO3的溶液)
生理盐水(0.9%的NaCl溶液) 水玻璃(Na2SiO3水溶液)
水泥(2CaO·SiO2、3CaO·SiO2、3CaO·Al2O3) 卤水(MgCl2、NaCl及少量MgSO4)
王水(由浓HNO3和浓盐酸以1∶3的体积比配制成的混合物)
十九、具有漂白作用的物质
| 氧化作用 | 化合作用 | 吸附作用 | |
| Cl2、O3、Na2O2、浓HNO3 | SO2 | 活性炭 | |
| 化学变化 | 物理变化 | ||
| 不可逆 | 可逆 | ||
其中能氧化指示剂而使指示剂褪色的主要有Cl2(HClO)和浓HNO3及Na2O2
二十、各种“气”汇集
1.无机的:爆鸣气(H2与O2); 水煤气或煤气(CO与H2);碳酸气(CO2)
2.有机的:天然气(又叫沼气、坑气,主要成分为CH4)
液化石油气(以丙烷、丁烷为主) 裂解气(以CH2=CH2为主) 焦炉气(H2、CH4等)
电石气(CH≡CH,常含有H2S、PH3等)
二十一、滴加顺序不同,现象不同
1.AgNO3与NH3·H2O:
AgNO3向NH3·H2O中滴加——开始无白色沉淀,后产生白色沉淀
NH3·H2O向AgNO3中滴加——开始有白色沉淀,后白色沉淀消失
2.NaOH与AlCl3:
NaOH向AlCl3中滴加——开始有白色沉淀,后白色沉淀消失
AlCl3向NaOH中滴加——开始无白色沉淀,后产生白色沉淀
3.HCl与NaAlO2:
HCl向NaAlO2中滴加——开始有白色沉淀,后白色沉淀消失
NaAlO2向HCl中滴加——开始无白色沉淀,后产生白色沉淀
4.Na2CO3与盐酸:
Na2CO3向盐酸中滴加——开始有气泡,后不产生气泡
盐酸向Na2CO3中滴加——开始无气泡,后产生气泡
二十二、几个很有必要熟记的相等式量


二十三、规律性的知识归纳

8 、能使酸性高锰酸钾溶液褪色的物质
(一)有机
1.不饱和烃(烯烃、炔烃、二烯烃、苯乙烯等);
2.不饱和烃的衍生物(烯醇、烯醛、油酸、油酸盐、油酸某酯、油等)
3.石油产品(裂化气、裂解气、裂化汽油等);
4.苯酚及其同系物(因为能与溴水取代而生成三溴酚类沉淀)
5.含醛基的化合物
6.天然橡胶(聚异戊二烯) CH2=CH-C=CH2
(二)无机
1.-2价硫(H2S及硫化物); CH3
2.+4价硫(SO2、H2SO3及亚硫酸盐);
3.+2价铁:

6FeSO4+3Br2=2Fe2(SO4)3+2FeBr3
6FeCl2+3Br2=4FeCl3+2FeBr3 变色
2FeI2+3Br2=2FeBr3+2I2
4.Zn、Mg等单质 如Mg+Br2MgBr2
(此外,其中亦有Mg与H+、Mg与HBrO的反应)
5.-1价的碘(氢碘酸及碘化物) 变色
6.NaOH等强碱:Br2+2OH‾==Br‾+BrO‾+H2O
7.AgNO3
8 、能使酸性高锰酸钾溶液褪色的物质
(一)有机
1.不饱和烃(烯烃、炔烃、二烯烃、苯乙烯等);
2.苯的同系物;
3.不饱和烃的衍生物(烯醇、烯醛、烯酸、卤代烃、油酸、油酸盐、油酸酯等);
4.含醛基的有机物(醛、甲酸、甲酸盐、甲酸某酯等);
5.石油产品(裂解气、裂化气、裂化汽油等);
6.煤产品(煤焦油);
7.天然橡胶(聚异戊二烯)。
(二)无机
1.-2价硫的化合物(H2S、氢硫酸、硫化物);
2.+4价硫的化合物(SO2、H2SO3及亚硫酸盐);
3.双氧水(H2O2,其中氧为-1价)
9、最简式相同的有机物
1.CH:C2H2和C6H6
2.CH2:烯烃和环烷烃
3.CH2O:甲醛、乙酸、甲酸甲酯、葡萄糖
4.CnH2nO:饱和一元醛(或饱和一元酮)与二倍于其碳原子数和饱和一元羧酸或酯;举一例:乙醛(C2H4O)与丁酸及其异构体(C4H8O2)
10、同分异构体(几种化合物具有相同的分子式,但具有不同的结构式)
1、醇—醚 CnH2n+2Ox 2、醛—酮—环氧烷(环醚) CnH2nO
3、羧酸—酯—羟基醛 CnH2nO2 4、氨基酸—硝基烷
5、单烯烃—环烷烃 CnH2n 6、二烯烃—炔烃 CnH2n-2
11、能发生取代反应的物质及反应条件
1.烷烃与卤素单质:卤素蒸汽、光照;
2.苯及苯的同系物与①卤素单质:Fe作催化剂;
②浓硝酸:50~60℃水浴;浓硫酸作催化剂
③浓硫酸:70~80℃水浴;
3.卤代烃水解:NaOH的水溶液;
4.醇与氢卤酸的反应:新制的氢卤酸(酸性条件);
5.酯类的水解:无机酸或碱催化;
6.酚与浓溴水 (乙醇与浓硫酸在140℃时的脱水反应,事实上也是取代反应。)
二十四、实验中水的妙用
1.水封:在中学化学实验中,液溴需要水封,少量白磷放入盛有冷水的广口瓶中保存,通过水的覆盖,既可隔绝空气防止白磷蒸气逸出,又可使其保持在燃点之下;液溴极易 挥发有剧毒,它在水中溶解度较小,比水重,所以亦可进行水封减少其挥发。
2.水浴:酚醛树脂的制备(沸水浴);硝基苯的制备(50—60℃)、乙酸乙酯的水解(70~80℃)、蔗糖的水解(70~80℃)、硝酸钾溶解度的测定(室温~100℃)需用温度计来控制温度;银镜反应需用温水浴加热即可。
3.水集:排水集气法可以收集难溶或不溶于水的气体,中学阶段有02, H2,C2H4,C2H2,CH4,NO。有些气体在水中有一定溶解度,但可以在水中加入某物质降低其溶解度,如:用排饱和食盐水法收集氯气。
4.水洗:用水洗的方法可除去某些难溶气体中的易溶杂质,如除去NO气体中的N02杂质。
5.鉴别:可利用一些物质在水中溶解度或密度的不同进行物质鉴别,如:苯、乙醇 溴乙烷三瓶未有标签的无色液体,用水鉴别时浮在水上的是苯,溶在水中的是乙醇,沉于水下的是溴乙烷。利用溶解性溶解热鉴别,如:氢氧化钠、硝酸铵、氯化钠、碳酸钙,仅用水可资鉴别。
6.检漏:气体发生装置连好后,应用热胀冷缩原理,可用水检查其是否漏气。
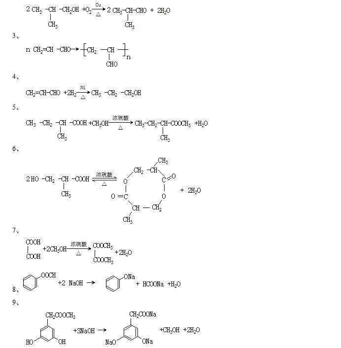
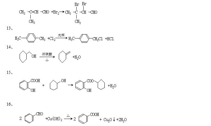
二十五、有机物的*能官**团:

二十六、各类有机物的通式、及主要化学性质
烷烃CnH2n+2 仅含C—C键 与卤素等发生取代反应、热分解 、不与高锰酸钾、溴水、强酸强碱反应
烯烃CnH2n 含C==C键 与卤素等发生加成反应、与高锰酸钾发生氧化反应、聚合反应、加聚反应
炔烃CnH2n-2 含C≡C键 与卤素等发生加成反应、与高锰酸钾发生氧化反应、聚合反应 苯(芳香烃)CnH2n-6与卤素等发生取代反应、与氢气等发生加成反应 (甲苯、乙苯等苯的同系物可以与高锰酸钾发生氧化反应)卤代烃:CnH2n+1X 醇:CnH2n+1OH或CnH2n+2O 苯酚:遇到FeCl3溶液显紫色 醛:CnH2nO 羧酸:CnH2nO2 酯:CnH2nO2
二十七、有机反应类型:
取代反应:有机物分子里的某些原子或原子团被其他原子或原子团所代替的反应。
加成反应:有机物分子里不饱和的碳原子跟其他原子或原子团直接结合的反应。
聚合反应:一种单体通过不饱和键相互加成而形成高分子化合物的反应。
加聚反应:一种或多种单体通过不饱和键相互加成而形成高分子化合物的反应。
消去反应:从一个分子脱去一个小分子(如水.卤化氢),因而生成不饱和化合物的反应。 氧化反应:有机物得氧或去氢的反应。
还原反应:有机物加氢或去氧的反应。
酯化反应:醇和酸起作用生成酯和水的反应。
水解反应:化合物和水反应生成两种或多种物质的反应(有卤代烃、酯、糖等)
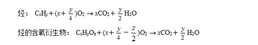
二十八、有机物燃烧通式

二十九、有机合成路线:




三十、化学计算
(一)有关化学式的计算

(二) 溶液计算


三十一、阿伏加德罗定律
1.内容:在同温同压下,同体积的气体含有相等的分子数。即“三同”定“一等”。
2.推论
(1)同温同压下,V1/V2=n1/n2 (2)同温同体积时,p1/p2=n1/n2=N1/N2
(3)同温同压等质量时,V1/V2=M2/M1 (4)同温同压同体积时,M1/M2=ρ1/ρ2
关注:(1)阿伏加德罗定律也适用于混合气体。
(2)考查气体摩尔体积时,常用在标准状况下非气态的物质来迷惑考生,如H2O、SO3、已烷、辛烷、CHCl3、乙醇等。
(3)物质结构和晶体结构:考查一定物质的量的物质中含有多少微粒(分子、原子、电子、质子、中子等)时常涉及稀有气体He、Ne等单原子分子,Cl2、N2、O2、H2双原子分子。胶体粒子及晶体结构:P4、金刚石、石墨、二氧化硅等结构。
(4)要用到22.4L·mol-1时,必须关注气体是否处于标准状况下,否则不能用此概念;
(5)某些原子或原子团在水溶液中能发生水解反应,使其数目减少;
(6)关注常见的的可逆反应:如NO2中存在着NO2与N2O4的平衡;
(7)不要把原子序数当成相对原子质量,也不能把相对原子质量当相对分子质量。
(8)较复杂的化学反应中,电子转移数的求算一定要细心。如Na2O2+H2O;Cl2+NaOH;电解AgNO3溶液等。
三十二、氧化还原反应
升失氧还还、降得还氧氧

三十三、盐类水解
盐类水解,水被弱解;有弱才水解,无弱不水解;越弱越水解,都弱双水解;谁强呈谁性,同强呈中性。
电解质溶液中的守恒关系
错误!未找到引用源。电荷守恒:电解质溶液中所有阳离子所带有的正电荷数与所有的阴离子所带的负电荷数相等。如NaHCO3溶液中:n(Na+)+n(H+)=n(HCO3-)+2n(CO32-)+n(OH-)推出:[Na+]+[H+]=[HCO3-]+2[CO32-]+[OH-]
错误!未找到引用源。物料守恒:电解质溶液中由于电离或水解因素,离子会发生变化变成其它离子或分子等,但离子或分子中某种特定元素的原子的总数是不会改变的。如NaHCO3溶液中:n(Na+):n(c)=1:1,推出:
C (Na+)=c (HCO3-)+c (CO32-)+c (H2CO3)
错误!未找到引用源。质子守恒:(不一定掌握)电解质溶液中分子或离子得到或失去质子(H+)的物质的量应相等。例如:在NH4HCO3溶液中H3O+、H2CO3为得到质子后的产物;NH3、OH-、CO32-为失去质子后的产物,故有以下关系:c (H3O+)+c (H2CO3)=c (NH3)+c (OH-)+c (CO32-)。
三十四、热化学方程式正误判断 —— “三查”
1.检查是否标明聚集态势:固(s)、液(l)、气(g)
2.检查△H的“+”“-”是否与吸热、放热一致。(关注△H的“+”与“-”,放热反应为“-”,吸热反应为“+”)
3.检查△H的数值是否与反应物或生成物的物质的量相匹配(成比例)
关注:要注明反应温度和压强,若反应在298K和1.013×105Pa条件下进行,可不予注明;
要注明反应物和生成物的聚集态势,常用s、l、g分别表示固体、液体和气体;
△H与化学计量系数有关,关注不要弄错。方程式与△H应用分号隔开,一定要写明“+”、“-”数值和单位。计量系数以“mol”为单位,可以是小数或分数。
一定要区别比较“反应热”、“中和热”、“燃烧热”等概念的异同。
三十五、浓硫酸“五性 ”
酸性、强氧化性、吸水性、脱水性、难挥发性
化合价不变只显酸性
化合价半变既显酸性又显强氧化性
化合价全变只显强氧化性
三十六、浓硝酸“四性”
酸性、强氧化性、不稳定性、挥发性
化合价不变只显酸性
化合价半变既显酸性又显强氧化性
化合价全变只显强氧化性
三十七、烷烃系统命名法的步骤
①选主链,称某烷
②编号位,定支链
③取代基,写在前,注位置,短线连
④不同基,简到繁,相同基,合并算
烷烃的系统命名法使用时应遵循两个基本原则:①最简化原则,②明确化原则,主要表现在一长一近一多一小,即“一长”是主链要长,“一近”是编号起点离支链要近,“一多”是支链数目要多,“一小”是支链位置号码之和要小,这些原则在命名时或判断命名的正误时均有重要的指导意义。
三十八、酯化反应的反应机理(酸提供羟基,醇提供氢原子)
所以羧酸分子里的羟基与醇分子中羟基上的氢原了结合成水,其余部分互相结合成酯。
浓硫酸
CH3COOH+H18OC2H5↔CH3CO18OC2H5+H2O
三十九、氧化还原反应配平
标价态、列变化、求总数、定系数、后检查
一标出有变的元素化合价;
二列出化合价升降变化
三找出化合价升降的最小公倍数,使化合价升高和降低的数目相等;
四定出氧化剂、还原剂、氧化产物、还原产物的系数;
五平:视察配平其它物质的系数;
六查:检查是否原子守恒、电荷守恒(通常通过检查氧元素的原子数),画上等号。
四十、 " 五同的区别 "
同位素( 相同的中子数,不同的质子数,是微观微粒)
同素异形体(同一种元素不同的单质,是宏观物质)
同分异构体(相同的分子式,不同的结构)
同系物(组成的元素相同,同一类的有机物,相差一个或若干个的CH2 )
同一种的物质(氯仿和三氯甲烷,异丁烷和2- 甲基丙烷等)
四十一、化学平衡图象题的解题步骤一般是:
看图像:一看面(即横纵坐标的意义); 二看线(即看线的走向和变化趋势);
三看点(即曲线的起点、折点、交点、起点),先出现拐点的则先达到平衡,说明该曲线表示的温度较高或压强较大,“先拐先平”。 四看辅助线(如等温线、等压线、平衡线等);五看量的变化(如温度变化、浓度变化等),“定一议二”。
四十二、中学常见物质电子式分类书写

四十三、原电池:
1.原电池形成三条件: “三看”。先看电极:两极为导体且活泼性不同;
再看溶液:两极插入电解质溶液中;三看回路:形成闭合回路或两极接触。
2.原理三要点:(1) 相对活泼金属作负极,失去电子,发生氧化反应.(2) 相对不活泼金属(或碳)作正极,得到电子,发生还原反应(3) 导线中(接触)有电流通过,使化学能转变为电能
3.原电池:把化学能转变为电能的装置
4.原电池与电解池的比较
| 原电池 | 电解池 | ||||
| (1)定义 | 化学能转变成电能的装置 | 电能转变成化学能的装置 | |||
| (2)形成条件 | 合适的电极、合适的电解质溶液、形成回路 | 电极、电解质溶液(或熔融的电解质)、外接电源、形成回路 | |||
| (3)电极名称 | 负极 | 正极 | 阳极 | 阴极 | |
| (4)反应类型 | 氧化 | 还原 | 氧化 | 还原 | |
| (5)外电路电子流向 | 负极流出、正极流入 | 阳极流出、阴极流入 |
四十四、等效平衡问题及解题思路
1 、等效平衡的含义在一定条件(定温、定容或定温、定压)下,只是起始加入情况不同的同一可逆反应达到平衡后,任何相同组分的分数(体积、物质的量)均相同,这样的化学平衡互称等效平衡。
2 、等效平衡的分类
(1 )定温(T )、定容(V )条件下的等效平衡
Ⅰ 类:针对一般可逆反应,在定T、V条件下,只改变起始加入情况,只要通过可逆反应的化学计量数比换算成平衡式左右两边同一边物质的物质的量与原平衡相同,则二平衡等效。
Ⅱ 类:在定T、V情况下,针对反应前后气体分子数不变的可逆反应,只要反应物(或生成物)的物质的量的比例与原平衡相同,则二平衡等效。
(2 )定T 、P 下的等效平衡(例4 :与例3的相似。如将反应换成合成氨反应)
Ⅲ类:在T、P相同的条件下,改变起始加入情况,只要按化学计量数换算成平衡式左右两边同一边物质的物质的量之比与原平衡相同,则达到平衡后与原平衡等效。
四十五、元素的一些特殊性质
1.周期表*特中**殊位置的元素
①族序数等于周期数的元素:H、Be、Al、Ge。 ②族序数等于周期数2倍的元素:C、S。
③族序数等于周期数3倍的元素:O。 ④周期数是族序数2倍的元素:Li、Ca。
⑤周期数是族序数3倍的元素:Na、Ba。 ⑥最高正价与最低负价代数和为零的短周期元素:C。
⑦最高正价是最低负价绝对值3倍的短周期元素:S。 ⑧除H外,原子半径最小的元素:F。
⑨短周期中离子半径最大的元素:P。
2.常见元素及其化合物的特性
①形成化合物种类最多的元素、单质是自然界中硬度最大的物质的元素或气态氢化物中氢的质量分数最大的元素:C。②空气中含量最多的元素或气态氢化物的水溶液呈碱性的元素:N。③地壳中含量最多的元素、气态氢化物沸点最高的元素或氢化物在通常情况下呈液态的元素:O。④最轻的单质的元素:H ;最轻的金属单质的元素:Li 。⑤单质在常温下呈液态的非金属元素:Br ;金属元素:Hg 。⑥最高价氧化物及其对应水化物既能与强酸反应,又能与强碱反应的元素:Be、Al、Zn。⑦元素的气态氢化物和它的最高价氧化物对应水化物能起化合反应的元素:N;能起氧化还原反应的元素:S。⑧元素的气态氢化物能和它的氧化物在常温下反应生成该元素单质的元素:S。⑨元素的单质在常温下能与水反应放出气体的短周期元素:Li、Na、F。⑩常见的能形成同素异形体的元素:C、P、O、S。
一 . 中学化学实验操作中的七原则
掌握下列七个有关操作顺序的原则,就可以正确解答“实验程序判断题”。
1.“从下往上”原则。以Cl2实验室制法为例,装配发生装置顺序是:放好铁架台→摆好酒精灯→根据酒精灯位置固定好铁圈→石棉网→固定好圆底烧瓶。
2.“从左到右”原则。装配复杂装置遵循从左到右顺序。如上装置装配顺序为:发生装置→集气瓶→烧杯。
3.先“塞”后“定”原则。带导管的塞子在烧瓶固定前塞好,以免烧瓶固定后因不宜用力而塞不紧或因用力过猛而损坏仪器。
4.“固体先放”原则。上例中,烧瓶内试剂MnO2应在烧瓶固定前装入,以免固体放入时损坏烧瓶。总之固体试剂应在固定前加入相应容器中。
5.“液体后加”原则。液体药品在烧瓶固定后加入。如上例浓盐酸应在烧瓶固定后在分液漏斗中缓慢加入。
6.先验气密性(装入药口前进行)原则。 7.后点酒精灯(所有装置装完后再点酒精灯)原则。
二 . 中学化学实验中温度计的使用分哪三种情况以及哪些实验需要温度计
1.测反应混合物的温度:这种类型的实验需要测出反应混合物的准确温度,因此,应将温度计插入混合物中间。 ①测物质溶解度。②实验室制乙烯。
2.测蒸气的温度:这种类型的实验,多用于测量物质的沸点,由于液体在沸腾时,液体和蒸气的温度相同,所以只要测蒸气的温度。①实验室蒸馏石油。②测定乙醇的沸点。
3.测水浴温度:这种类型的实验,往往只要使反应物的温度保持相对稳定,所以利用水浴加热,温度计则插入水浴中。①温度对反应速率影响的反应。②苯的硝化反应。
三 . 常见的需要塞入棉花的实验有哪些需要塞入少量棉花的实验:
加热KMnO4制氧气 制乙炔和收集NH3 其作用分别是:防止KMnO4粉末进入导管;
防止实验中产生的泡沫涌入导管;防止氨气与空气对流,以缩短收集NH3的时间。
四 . 常见物质分离提纯的 10 种方法
1.结晶和重结晶:利用物质在溶液中溶解度随温度变化较大,如NaCl,KNO3。
2.蒸馏冷却法:在沸点上差值大。乙醇中(水):加入新制的CaO吸收大部分水再蒸馏。
3.过滤法:溶与不溶。 4.升华法:SiO2(I2)。
5.萃取法:如用CCl4来萃取I2水中的I2。
6.溶解法:Fe粉(A1粉):溶解在过量的NaOH溶液里过滤分离。
7.增加法:把杂质转化成所需要的物质:CO2(CO):通过热的CuO;CO2(SO2):通过NaHCO3溶液。
8.吸收法:除去混合气体中的气体杂质,气体杂质必须被药品吸收:N2(O2):将混合气体通过铜网吸收O2。
9.转化法:两种物质难以直接分离,加药品变得容易分离,然后再还原回去:Al(OH)3,Fe(OH)3:先加NaOH溶液把Al(OH)3溶解,过滤,除去Fe(OH)3,再加酸让NaAlO2转化成A1(OH)3。
五.常用的去除杂质的方法10种
1.杂质转化法:欲除去苯中的苯酚,可加入氢氧化钠,使苯酚转化为酚钠,利用酚钠易溶于水,使之与苯分开。欲除去Na2CO3中的NaHCO3可用加热的方法。
2.吸收洗涤法:欲除去二氧化碳中混有的少量氯化氢和水,可使混合气体先通过饱和碳酸氢钠的溶液后,再通过浓硫酸。
3.沉淀过滤法:欲除去硫酸亚铁溶液中混有的少量硫酸铜,加入过量铁粉,待充分反应后,过滤除去不溶物,达到目的。
4.加热升华法:欲除去碘中的沙子,可用此法。 5.溶剂萃取法:欲除去水中含有的少量溴,可用此法。
6.溶液结晶法(结晶和重结晶):欲除去硝酸钠溶液中少量的氯化钠,可利用二者的溶解度不同,降低溶液温度,使硝酸钠结晶析出,得到硝酸钠纯晶。
7.分馏蒸馏法:欲除去*醚乙**中少量的酒精,可采用多次蒸馏的方法。
8.分液法:欲将密度不同且又互不相溶的液体混合物分离,可采用此法,如将苯和水分离。
9.渗析法:欲除去胶体中的离子,可采用此法。如除去氢氧化铁胶体中的氯离子。
10.综合法:欲除去某物质中的杂质,可采用以上各种方法或多种方法综合运用。
六 . 化学实验基本操作中的“不” 15 例
1.实验室里的药品,不能用手接触;不要鼻子凑到容器口去闻气体的气味,更不能尝结晶的味道。
2.做完实验,用剩的药品不得抛弃,也不要放回原瓶(活泼金属钠、钾等例外)。
3.取用液体药品时,把瓶塞打开不要正放在桌面上;瓶上的标签应向着手心,不应向下;放回原处时标签不应向里。
4.如果皮肤上不慎洒上浓H2SO4,不得先用水洗,应根据情况迅速用布擦去,再用水冲洗;若眼睛里溅进了酸或碱,切不可用手揉眼,应及时想办法处理。
5.称量药品时,不能把称量物直接放在托盘上;也不能把称量物放在右盘上;加法码时不要用手去拿。
6.用滴管添加液体时,不要把滴管伸入量筒(试管)或接触筒壁(试管壁)。
7.向酒精灯里添加酒精时,不得超过酒精灯容积的2/3,也不得少于容积的1/3。
8.不得用燃着的酒精灯去对点另一只酒精灯;熄灭时不得用嘴去吹。
9.给物质加热时不得用酒精灯的内焰和焰心。
10.给试管加热时,不要把拇指按在短柄上;切不可使试管口对着自己或旁人;液体的体积一般不要超过试管容积的1/3。
11.给烧瓶加热时不要忘了垫上石棉网。
12.用坩埚或蒸发皿加热完后,不要直接用手拿回,应用坩埚钳夹取。
13.使用玻璃容器加热时,不要使玻璃容器的底部跟灯芯接触,以免容器破裂。烧得很热的玻璃容器,不要用冷水冲洗或放在桌面上,以免破裂。
14.过滤液体时,漏斗里的液体的液面不要高于滤纸的边缘,以免杂质进入滤液。
15.在烧瓶口塞橡皮塞时,切不可把烧瓶放在桌上再使劲塞进塞子,以免压破烧瓶。
七 . 化学实验中的先与后 22 例
1.加热试管时,应先均匀加热后局部加热。
2.用排水法收集气体时,先拿出导管后撤酒精灯。
3.制取气体时,先检验气密性后装药品。
4.收集气体时,先排净装置中的空气后再收集。
5.稀释浓硫酸时,烧杯中先装一定量蒸馏水后再沿器壁缓慢注入浓硫酸。
6.点燃H2、CH4、C2H4、C2H2等可燃气体时,先检验纯度再点燃。
7.检验卤化烃分子的卤元素时,在水解后的溶液中先加稀HNO3再加AgNO3溶液。
8.检验NH3(用红色石蕊试纸)、Cl2(用淀粉KI试纸)、H2S[用Pb(Ac)2试纸]等气体时,先用蒸馏水润湿试纸后再与气体接触。
9.做固体药品之间的反应实验时,先单独研碎后再混合。
10.配制FeCl3,SnCl2等易水解的盐溶液时,先溶于少量浓盐酸中,再稀释。
11.中和滴定实验时,用蒸馏水洗过的滴定管先用标准液润洗后再装标准掖;先用待测液润洗后再移取液体;滴定管读数时先等一二分钟后再读数;视察锥形瓶中溶液颜色的改变时,先等半分钟颜色不变后即为滴定起点。
12.焰色反应实验时,每做一次,铂丝应先沾上稀盐酸放在火焰上灼烧到无色时,再做下一次实验。
13.用H2还原CuO时,先通H2流,后加热CuO,反应完毕后先撤酒精灯,冷却后再停止通H2。
14.配制物质的量浓度溶液时,先用烧杯加蒸馏水至容量瓶刻度线1cm~2cm后,再改用胶头滴管加水至刻度线。
15.安装发生装置时,遵循的原则是:自下而上,先左后右或先下后上,先左后右。
16.浓H2SO4不慎洒到皮肤上,先迅速用布擦干,再用水冲洗,最后再涂上3%一5%的 NaHCO3溶液。沾上其他酸时,先水洗,后涂 NaHCO3溶液。
17.碱液沾到皮肤上,先水洗后涂硼酸溶液。
18.酸(或碱)流到桌子上,先加 NaHCO3溶液(或醋酸)中和,再水洗,最后用布擦。
19.检验蔗糖、淀粉、纤维素是否水解时,先在水解后的溶液中加NaOH溶液中和H2SO4,再加银氨溶液或Cu(OH)2悬浊液。
20.用pH试纸时,先用玻璃棒沾取待测溶液涂到试纸上,再把试纸的颜色跟标准比色卡对比,定出pH。
21.配制和保存Fe2+,Sn2+等易水解、易被空气氧化的盐溶液时;先把蒸馏水煮沸赶走O2,再溶解,并加入少量的相应金属粉末和相应酸。
22.称量药品时,先在盘上各放二张大小,重量相等的纸(腐蚀药品放在烧杯等玻璃器皿),再放药品。加热后的药品,先冷却,后称量。
八 . 实验中导管和漏斗的位置的放置方法
在许多化学实验中都要用到导管和漏斗,因此,它们在实验装置中的位置正确与否均直接影响到实验的效果,而且在不同的实验中具体要求也不尽相同。下面拟结合实验和化学课本中的实验图,作一简要的分析和归纳。
1.气体发生装置中的导管;在容器内的部分都只能露出橡皮塞少许或与其平行,不然将不利于排气。
2.用排空气法(包括向上和向下)收集气体时,导管都必领伸到集气瓶或试管的底部附近。这样利于排尽集气瓶或试管内的空气,而收集到较纯净的气体。
3.用排水法收集气体时,导管只需要伸到集气瓶或试管的口部。原因是“导管伸入集气瓶和试管的多少都不影响气体的收集”,但两者比较,前者操作方便。
4.进行气体与溶液反应的实验时,导管应伸到所盛溶液容器的中下部。这样利于两者接触,充分反应。
5.点燃H2、CH4等并证明有水生成时,不仅要用大而冷的烧杯,而且导管以伸入烧杯的1/3为宜。若导管伸入烧杯过多,产生的雾滴则会很快气化,结果视察不到水滴。
6.进行一种气体在另一种气体中燃烧的实验时,被点燃的气体的导管应放在盛有另一种气体的集气瓶的中央。不然,若与瓶壁相碰或离得太近,燃烧产生的高温会使集气瓶炸裂。
7.用加热方法制得的物质蒸气,在试管中冷凝并收集时,导管口都必须与试管中液体的液面始终保持一定的距离,以防止液体经导管倒吸到反应器中。
8.若需将HCl、NH3等易溶于水的气体直接通入水中溶解,都必须在导管上倒接一漏斗并使漏斗边沿稍许浸入水面,以避免水被吸入反应器而导致实验失败。
9.洗气瓶中供进气的导管务必插到所盛溶液的中下部,以利杂质气体与溶液充分反应而除尽。供出气的导管则又务必与塞子齐平或稍长一点,以利排气。
10.制H2、CO2、H2S和C2H2等气体时,为方便添加酸液或水,可在容器的塞子上装一长颈漏斗,且务必使漏斗颈插到液面以下,以免漏气。
11.制Cl2、HCl、C2H4气体时,为方便添加酸液,也可以在反应器的塞子上装一漏斗。但由于这些反应都需要加热,所以漏斗颈都必须置于反应液之上,因而都选用分液漏斗。
九 . 特殊试剂的存放和取用 10 例
1.Na、K:隔绝空气;防氧化,保存在煤油中(或液态烷烃中),(Li用石蜡密封保存)。用镊子取,玻片上切,滤纸吸煤油,剩余部分随即放人煤油中。
2.白磷:保存在水中,防氧化,放冷暗处。镊子取,并立即放入水中用长柄小刀切取,滤纸吸干水分。
3.液Br2:有毒易挥发,盛于磨口的细口瓶中,并用水封。瓶盖严密。
4.I2:易升华,且具有强烈刺激性气味,应保存在用蜡封好的瓶中,放置低温处。
5.浓HNO3,AgNO3:见光易分解,应保存在棕色瓶中,放在低温避光处。
6.固体烧碱:易潮解,应用易于密封的干燥大口瓶保存。瓶口用橡胶塞塞严或用塑料盖盖紧。
7.NH3•H2O:易挥发,应密封放低温处。
8.C6H6、、C6H5—CH3、CH3CH2OH、CH3CH2OCH2CH3:易挥发、易燃,应密封存放低温处,并远离火源。
9.Fe2+盐溶液、H2SO3及其盐溶液、氢硫酸及其盐溶液:因易被空气氧化,不宜长期放置,应现用现配。
10.卤水、石灰水、银氨溶液、Cu(OH)2悬浊液等,都要随配随用,不能长时间放置。
十 . 中学化学中与“ 0 ”有关的实验问题 4 例
1.滴定管最上面的刻度是0。 2.量筒最下面的刻度是0。
3.温度计中间刻度是0。 4.托盘天平的标尺中央数值是0。
十一 . 能够做喷泉实验的气体
NH3、HCl、HBr、HI等极易溶于水的气体均可做喷泉实验。其它气体若能极易溶于某液体中时(如CO2易溶于烧碱溶液中),亦可做喷泉实验。
十二 . 主要实验操作和实验现象的具体实验 80 例
1.镁条在空气中燃烧:发出耀眼强光,放出大量的热,生成白烟同时生成一种白色物质。
2.木炭在氧气中燃烧:发出白光,放出热量。
3.硫在氧气中燃烧:发出明亮的蓝紫色火焰,放出热量,生成一种有刺激性气味的气体。
4.铁丝在氧气中燃烧:剧烈燃烧,火星四射,放出热量,生成黑色固体物质。
5.加热试管中碳酸氢铵:有刺激性气味气体生成,试管上有液滴生成。
6.氢气在空气中燃烧:火焰显现淡蓝色。 7.氢气在氯气中燃烧:发出苍白色火焰,产生大量的热。
8.在试管中用氢气还原氧化铜:黑色氧化铜变为红色物质,试管口有液滴生成。
9.用木炭粉还原氧化铜粉末,使生成气体通入澄清石灰水,黑色氧化铜变为有光泽的金属颗粒,石灰水变浑浊。
10.一氧化碳在空气中燃烧:发出蓝色的火焰,放出热量。
11. 向盛有少量碳酸钾固体的试管中滴加盐酸:有气体生成。
12.加热试管中的硫酸铜晶体:蓝色晶体逐渐变为白色粉末,且试管口有液滴生成。
13.钠在氯气中燃烧:剧烈燃烧,生成白色固体。
14.点燃纯净的氯气,用干冷烧杯罩在火焰上:发出淡蓝色火焰,烧杯内壁有液滴生成。
15.向含有C1-的溶液中滴加用硝酸酸化的硝酸银溶液,有白色沉淀生成。
16.向含有SO42-的溶液中滴加用硝酸酸化的氯化钡溶液,有白色沉淀生成。
17.一带锈铁钉投入盛稀硫酸的试管中并加热:铁锈逐渐溶解,溶液呈浅黄色,并有气体生成。
18.在硫酸铜溶液中滴加氢氧化钠溶液:有蓝色絮状沉淀生成。
19.将Cl2通入无色KI溶液中,溶液中有褐色的物质产生。
20.在三氯化铁溶液中滴加氢氧化钠溶液:有红褐色沉淀生成。
21.盛有生石灰的试管里加少量水:反应剧烈,发出大量热。
22.将一洁净铁钉浸入硫酸铜溶液中:铁钉表面有红色物质附着,溶液颜色逐渐变浅。
23.将铜片插入硝酸汞溶液中:铜片表面有银白色物质附着。
24.向盛有石灰水的试管里,注入浓的碳酸钠溶液:有白色沉淀生成。
25.细铜丝在氯气中燃烧后加入水:有棕色的烟生成,加水后生成绿色的溶液。
26.强光照射氢气、氯气的混合气体:迅速反应发生爆炸。
27. 红磷在氯气中燃烧:有白色烟雾生成。 28.氯气遇到湿的有色布条:有色布条的颜色退去。
29.加热浓盐酸与二氧化锰的混合物:有黄绿色刺激性气味气体生成。
30.给氯化钠(固)与硫酸(浓)的混合物加热:有雾生成且有刺激性的气味生成。
31. 在溴化钠溶液中滴加硝酸银溶液后再加稀硝酸:有浅黄色沉淀生成。
32.在碘化钾溶液中滴加硝酸银溶液后再加稀硝酸:有黄色沉淀生成。
33.I2遇淀粉,生成蓝色溶液。 34.细铜丝在硫蒸气中燃烧:细铜丝发红后生成黑色物质。
35.铁粉与硫粉混合后加热到红热:反应继续进行,放出大量热,生成黑色物质。
36.硫化氢气体不完全燃烧(在火焰上罩上蒸发皿):火焰呈淡蓝色(蒸发皿底部有黄色的粉末)。
37.硫化氢气体完全燃烧(在火焰上罩上干冷烧杯):火焰呈淡蓝色,生成有刺激性气味的气体(烧杯内壁有液滴生成)。
38.在集气瓶中混合硫化氢和二氧化硫:瓶内壁有黄色粉末生成。
39.二氧化硫气体通入品红溶液后再加热:红色退去,加热后又恢复原来颜色。
40.过量的铜投入盛有浓硫酸的试管,并加热,反应毕,待溶液冷却后加水:有刺激性气味的气体生成,加水后溶液呈天蓝色。
41.加热盛有浓硫酸和木炭的试管:有气体生成,且气体有刺激性的气味。
42.钠在空气中燃烧:火焰呈黄色,生成淡黄色物质。
43.钠投入水中:反应激烈,钠浮于水面,放出大量的热使钠溶成小球在水面上游动,有“嗤嗤”声。
44.把水滴入盛有过氧化钠固体的试管里,将带火星木条伸入试管口:木条复燃。
45. 加热碳酸氢钠固体,使生成气体通入澄清石灰水:澄清石灰水变浑浊。
46.氨气与氯化氢相遇:有大量的白烟产生。
47. 加热氯化铵与氢氧化钙的混合物:有刺激性气味的气体产生。
48. 加热盛有固体氯化铵的试管:在试管口有白色晶体产生。
49.无色试剂瓶内的浓硝酸受到阳光照射:瓶中空间部分显棕色,硝酸呈黄色。
50.铜片与浓硝酸反应:反应激烈,有红棕色气体产生。
51.铜片与稀硝酸反应:试管下端产生无色气体,气体上升逐渐变成红棕色。
52. 在硅酸钠溶液中加入稀盐酸,有白色胶状沉淀产生。
53.在氢氧化铁胶体中加硫酸镁溶液:胶体变浑浊。 54.加热氢氧化铁胶体:胶体变浑浊。
55.将点燃的镁条伸入盛有二氧化碳的集气瓶中:剧烈燃烧,有黑色物质附着于集气瓶内壁。
56.向硫酸铝溶液中滴加*水氨**:生成蓬松的白色絮状物质。
57.向硫酸亚铁溶液中滴加氢氧化钠溶液:有白色絮状沉淀生成,立即转变为灰绿色,一会儿又转变为红褐色沉淀。
58. 向含Fe3+的溶液中滴入KSCN溶液:溶液呈血红色。
59.向硫化钠水溶液中滴加氯水:溶液变浑浊。S2-+Cl2=2Cl2-+S↓
60.向天然水中加入少量肥皂液:泡沫逐渐减少,且有沉淀产生。
61.在空气中点燃甲烷,并在火焰上放干冷烧杯:火焰呈淡蓝色,烧杯内壁有液滴产生。
62.光照甲烷与氯气的混合气体:黄绿色逐渐变浅,时间较长,(容器内壁有液滴生成)。
63. 加热(170℃)乙醇与浓硫酸的混合物,并使产生的气体通入溴水,通入酸性高锰酸钾溶液:有气体产 生,溴水褪色,紫色逐渐变浅。
64.在空气中点燃乙烯:火焰明亮,有黑烟产生,放出热量。
65.在空气中点燃乙炔:火焰明亮,有浓烟产生,放出热量。
66.苯在空气中燃烧:火焰明亮,并带有黑烟。 67.乙醇在空气中燃烧:火焰显现淡蓝色。
68.将乙炔通入溴水:溴水褪去颜色。 69.将乙炔通入酸性高锰酸钾溶液:紫色逐渐变浅,直至褪去。
70. 苯与溴在有铁粉做催化剂的条件下反应:有白雾产生,生成物油状且带有褐色。
71.将少量甲苯倒入适量的高锰酸钾溶液中,振荡:紫色褪色。
72.将金属钠投入到盛有乙醇的试管中:有气体放出。
73.在盛有少量苯酚的试管中滴入过量的浓溴水:有白色沉淀生成。
74.在盛有苯酚的试管中滴入几滴三氯化铁溶液,振荡:溶液显紫色。
75.乙醛与银氨溶液在试管中反应:洁净的试管内壁附着一层光亮如镜的物质。
76.在加热至沸腾的情况下乙醛与新制的氢氧化铜反应:有红色沉淀生成。
77.在适宜条件下乙醇和乙酸反应:有透明的带香味的油状液体生成。
78.蛋白质遇到浓HNO3溶液:变成黄色。 79.紫色的石蕊试液遇碱:变成蓝色。
80.无色酚酞试液遇碱:变成红色。
十三 . 有机实验的八项关注
有机实验是中学化学教学的重要内容,是高考会考的常考内容。针对有机实验的操作及复习必须关注以下八点内容。
1.关注加热方式
有机实验往往需要加热,而不同的实验其加热方式可能不一样。
⑴酒精灯加热。 酒精灯的火焰温度一般在400~500℃,所以需要温度不太高的实验都可用酒精灯加热。教材中用酒精灯加热的有机实验是:“乙烯的制备实验”、“乙酸乙酯的制取实验”“蒸馏石油实验”和“石蜡的催化裂化实验”。
⑵酒精喷灯加热。酒精喷灯的火焰温度比酒精灯的火焰温度要高得多,所以需要较高温度的有机实验可采用酒精喷灯加热。教材中用酒精喷灯加热的有机实验是:“煤的干馏实验”。
⑶水浴加热。水浴加热的温度不超过100℃。教材中用水浴加热的有机实验有:“银镜实验(包括醛类、糖类等的所有的银镜实验)”、“ 硝基苯的制取实验(水浴温度为6 0℃)”、“ 酚醛树酯的制取实验(沸水浴)”、“乙酸乙酯的水解实验(水浴温度为70℃~80℃)”和“ 糖类(包括二糖、 淀粉和纤维素等)水解实验(热水浴)”。
⑷用温度计测温的有机实验有:“硝基苯的制取实验”、“乙酸乙酯的制取实验”(以上两个实验中的温度计水银球都是插在反应液外的水浴液中,测定水浴的温度)、“乙烯的实验室制取实验”(温度计水银球插入反应液中,测定反应液的温度)和“ 石油的蒸馏实验”(温度计水银球应插在具支烧瓶支管口处, 测定馏出物的温度)。
2、关注催化剂的使用
⑴ 硫酸做催化剂的实验有:“乙烯的制取实验”、 “硝基苯的制取实验”、“乙酸乙酯的制取实验”、“纤维素硝酸酯的制取实验”、“糖类(包括二糖、淀粉和纤维素)水解实验”和“乙酸乙酯的水解实验”。
其中前四个实验的催化剂为浓硫酸,后两个实验的催化剂为稀硫酸,其中最后一个实验也可以用氢氧化钠溶液做催化剂
⑵铁做催化剂的实验有:溴苯的制取实验(实际上起催化作用的是溴与铁反应后生成的溴化铁)。
⑶氧化铝做催化剂的实验有:石蜡的催化裂化实验。
3、关注反应物的量
有机实验要关注严格控制反应物的量及各反应物的比例,如“乙烯的制备实验”必须关注乙醇和浓硫酸的比例为1:3,且需要的量不要太多,否则反应物升温太慢,副反应较多,从而影响了乙烯的产率。
4、关注冷却
有机实验中的反应物和产物多为挥发性的有害物质,所以必须关注对挥发出的反应物和产物进行冷却。
⑴需要冷水(用冷凝管盛装)冷却的实验:“蒸馏水的制取实验”和“石油的蒸馏实验”。
⑵用空气冷却(用长玻璃管连接反应装置)的实验:“硝基苯的制取实验”、“酚醛树酯的制取实验”、“乙酸乙酯的制取实验”、“石蜡的催化裂化实验”和 “溴苯的制取实验”。
这些实验需要冷却的目的是减少反应物或生成物的挥发,既保证了实验的顺利进行,又减少了这些挥发物对人的危害和对环境的污染。
5、关注除杂
有机物的实验往往副反应较多,导致产物中的杂质也多,为了保证产物的纯净,必须关注对产物进行净化除杂。如“乙烯的制备实验”中乙烯中常含有CO2和SO2等杂质气体,可将这种混合气体通入到浓碱液中除去酸性气体;再如“溴苯的制备实验”和“硝基苯的制备实验”,产物溴苯和硝基苯中分别含有溴和NO2,因此, 产物可用浓碱液洗涤。
6、关注搅拌
关注不断搅拌也是有机实验的一个关注条件。如“浓硫酸使蔗糖脱水实验”(也称“黑面包”实验)(目的是使浓硫酸与蔗糖迅速混合,在短时间内急剧反应,以便反应放出的气体和大量的热使蔗糖炭化生成的炭等固体物质快速膨胀)、“乙烯制备实验”中醇酸混合液的配制。
7、关注使用沸石(防止暴沸)
需要使用沸石的有机实验:⑴ 实验室中制取乙烯的实验; ⑵石油蒸馏实验。
8、关注尾气的处理
有机实验中往往挥发或产生有害气体,因此必须对这种有害气体的尾气进行无害化处理。
⑴如甲烷、乙烯、乙炔的制取实验中可将可燃性的尾气燃烧掉;⑵“溴苯的制取实验”和“硝基苯的制备实验”中可用冷却的方法将有害挥发物回流。
十四 . 离子反应 离子共存 离子方程式
电解质在溶液里所起的反应,实质上就是离子之间的相互反应。离子间的反应是趋向于降低离子浓度的方向进行。离子反应通常用离子方程式来表示。理解掌握离子反应发生的条件和正确书写离子方程式是学好离子反应的关键。溶液中离子共存的问题,取决于离子之间是否发生化学反应,如离子间能反应,这些离子就不能大量共存于同一溶液中。
(一). 离子反应发生的条件
1. 离子反应生成微溶物或难溶物。
2. 离子反应生成气体。
3. 离子反应生成弱电解质。
4. 离子反应发生氧化还原反应。
根据化学反应类型,离子反应可分为两类,一是酸碱盐之间的复分解反应;二是氧化性离子与还原性离子间的氧化还原反应。离子反应还应关注:
1.微溶物向难溶物转化,如用煮沸法软化暂时硬水
MgHCO3==MgCO3+CO2↑+H2O MgCO3虽然难溶,但在溶液中溶解的哪部分是完全电离的,当Mg2+遇到水溶液里的OH-时会结合生成比MgCO3溶解度更小的Mg(OH)2而沉淀析出MgCO3+H2O==Mg(OH)2 ↓+ CO2↑
2.生成络离子的反应:
FeCl3溶液与KSCN 溶液的反应:Fe3+ + SCN- ==Fe(SCN)2+ 生成物既不是沉淀物也不是气体,为什么反应能发生呢?主要是生成了难电离的Fe(SCN)2+络离子。
3.优先发生氧化还原反应:
具有强氧化性的离子与强还原性的离子相遇时首先发生氧化还原反应。例如:Na2S溶液与FeCI3溶液混合,生成S和Fe2+离子,而不是发生双水解生成Fe(OH)3沉淀和H2S气体。2Fe3+ + S2- = 2Fe2+ + S ↓
总之:在水溶液里或在熔融态势下,离子间只要是能发生反应,总是向着降低离子浓度的方向进行。反之,离子反应不能发生。
(二). 离子反应的本质:反应体系中能够生成气、水(难电离的物质)、沉淀的离子参与反应,其余的成分实际上未参与反应。
(三).离子反应方程式的类型
1. 复分解反应的离子方程式。 2. 氧化还原反应的离子方程式。
3. 盐类水解的离子方程式。 4. 络合反应的离子方程式。
掌握离子方程式的类型及特征,写好离子方程式,正确书写离子方程式是学生必须掌握的基本技能。
十五 . 盐类水解的应用规律
盐的离子跟水电离出来的氢离子或氢氧根离子生成弱电解质的反应,称为盐类的水解。
其一般规律是:谁弱谁水解,谁强显谁性;两强不水解,两弱更水解,越弱越水解。
哪么在哪些情况下考虑盐的水解呢?
1.分析判断盐溶液酸碱性时要考虑水解。
2.确定盐溶液中的离子种类和浓度时要考虑盐的水解。
如Na2S溶液中含有哪些离子,按浓度由大到小的顺序排列:
C(Na+ )>C(S2-)>C(OH-)>C(HS-)>C(H+)
或:C(Na+) +C(H+)=2C(S2-)+C(HS-)+C(OH-)
3.配制某些盐溶液时要考虑盐的水解
如配制FeCl3,SnCl4 ,Na2SiO3等盐溶液时应分别将其溶解在相应的酸或碱溶液中。
4.制备某些盐时要考虑水解Al2S3 ,MgS,Mg3N2 等物质极易与水作用,它们在溶液中不能稳定存在,所以制 取这些物质时,不能用复分解反应的方法在溶液中制取,而只能用干法制备。
5.某些活泼金属与强酸弱碱溶液反应,要考虑水解
如Mg,Al,Zn等活泼金属与NH4Cl,CuSO4 ,AlCl3 等溶液反应.3Mg+2AlCl3 +6H2O=3MgCl2+2Al(OH)3↓+3H2↑
6.判断中和滴定起点时溶液酸碱性,选择指示剂以及当pH=7时酸或碱过量的判断等问题时,应考虑到盐的水解.如CH3COOH与NaOH刚好反应时pH>7,若二者反应后溶液pH=7,则CH3COOH过量。指示剂选择的总原则是,所选择指示剂的变色范围应该与滴定后所得盐溶液的pH值范围相一致。即强酸与弱碱互滴时应选择甲基橙;弱酸与强碱互滴时应选择酚酞。
7.制备氢氧化铁胶体时要考虑水解.FeCl3+3H2O=Fe(OH)3(胶体)+3HCl
8.分析盐与盐反应时要考虑水解.两种盐溶液反应时应分三个步骤分析考虑:
(1)能否发生氧化还原反应; (2)能否发生双水解互促反应;
(3)以上两反应均不发生,则考虑能否发生复分解反应.
9.加热蒸发和浓缩盐溶液时,对最后残留物的判断应考虑盐类的水解
(1)加热浓缩不水解的盐溶液时一般得原物质.
(2)加热浓缩Na2CO3型的盐溶液一般得原物质.
(3)加热浓缩FeCl3 型的盐溶液.最后得到FeCl3和Fe(OH)3 的混合物,灼烧得Fe2O3 。
(4)加热蒸干(NH4)2CO3或NH4HCO3 型的盐溶液时,得不到固体.
(5)加热蒸干Ca(HCO3)2型的盐溶液时,最后得相应的正盐.
(6)加热Mg(HCO3)2、MgCO3 溶液最后得到Mg(OH)2 固体.
10.其它方面
(1)净水剂的选择:如Al3+ ,FeCl3等均可作净水剂,应从水解的角度解释。
(2)化肥的使用时应考虑水解。如草木灰不能与铵态氮肥混合使用。
(3)小苏打片可治疗胃酸过多。
(4)纯碱液可洗涤油污。
(5)磨口试剂瓶不能盛放Na2SiO3,Na2CO3等试剂.
凡此种种,不一而举。学习中要具体情况具体分析,灵活应用之。
十六 . 焰色反应全集
(一). 钠离子:
钠的焰色反应本应不难做,但实际做起来最麻烦。因为钠的焰色为黄色,而酒精灯的火焰因灯头灯芯不干净、酒精不纯而使火焰大多呈黄色。即使是近乎无色(浅淡蓝色)的火焰,一根新的铁丝(或镍丝、铂丝)放在外焰上灼烧,开始时火焰也是黄色的,很难说明焰色是钠离子的还是原来酒精灯的焰色。要明显看到钠的黄色火焰,可用如下方法。
⑴方法一(镊子-棉花-酒精法):用镊子取一小团棉花(脱脂棉,下同)吸少许酒精(95%乙醇,下同),把棉花上的酒精挤干,用该棉花沾一些氯化钠或无水碳酸钠粉末(研细),点燃。
⑵方法二(铁丝法):①取一条细铁丝,一端用砂纸擦净,再在酒精灯外焰上灼烧至无黄色火焰,②用该端铁丝沾一下水,再沾一些氯化钠或无水碳酸钠粉末,③点燃一盏新的酒精灯(灯头灯芯干净、酒精纯),④把沾有钠盐粉末的铁丝放在外焰尖上灼烧,这时外焰尖上有一个小的黄色火焰,那就是钠焰。以上做法教师演示实验较易做到,但学生实验因大多数酒精灯都不干净而很难看到焰尖,可改为以下做法:沾有钠盐的铁丝放在外焰中任一有蓝色火焰的部位灼烧,黄色火焰覆盖蓝色火焰,就可认为黄色火焰就是钠焰。
(二). 钾离子:
⑴方法一(烧杯-酒精法):
取一小药匙无水碳酸钠粉末(充分研细)放在一倒置的小烧杯上,滴加5~6滴酒精,点燃,可看到明显的浅紫色火焰,如果隔一钴玻璃片视察,则更明显看到紫色火焰。
⑵方法二(蒸发皿-酒精法):
取一药匙无水碳酸钠粉末放在一个小发皿内,加入1毫升酒精,点燃,燃烧时用玻棒不断搅动,可看到紫色火焰,透过钴玻璃片视察效果更好,到酒精快烧完时现象更明显。
⑶方法三(铁丝-棉花-水法):
取少许碳酸钠粉末放在一小蒸发皿内,加一两滴水调成糊状;再取一条小铁丝,一端擦净,弯一个小圈,圈内夹一小团棉花,棉花沾一点水,又把水挤干,把棉花沾满上述糊状碳酸钠,放在酒精灯外焰上灼烧,透过钴玻璃片可看到明显的紫色火焰。
⑷方法四(铁丝法):
同钠的方法二中的学生实验方法。该法效果不如方法一、二、三,但接近课本的做法。
视察钾的焰色时,室内光线不要太强,否则浅紫色的钾焰不明显。
(三). 锂离子:
⑴方法一(镊子-棉花-酒精法):
用镊子取一团棉花,吸饱酒精,又把酒精挤干,把棉花沾满Li2CO3粉末,点燃。
⑵方法二(铁丝法):跟钠的方法二相同。
(四). 钙离子:
⑴方法一(镊子-棉花-酒精法): 同钠的方法一。
⑵方法二(烧杯-酒精法):
取一药匙研细的无水氯化钙粉末(要吸少量水,如果的确一点水也没有,则让其在空气吸一会儿潮)放在倒置的小烧杯上,滴加7~8滴酒精,点燃。⑶方法三(药匙法):用不锈钢药匙盛少许无水氯化钙(同上)放在酒精灯外焰上灼烧。
(五). 锶离子:
方法一、二:同碳酸锂的方法一、二。
(六). 钡离子:
⑴方法一(铁丝-棉花-水法):
取少量研细的氯化钡粉末放在一小蒸发皿内,加入一两滴水调成糊状,取一小铁丝,一端用砂纸擦净,弯一个小圈,圈内夹一小团棉花,棉花吸饱水后又挤干,把这棉花沾满上述糊状氯化钡,放在酒精灯火焰下部的外焰上灼烧,可看到明显的黄绿色钡焰。
⑵方法二(棉花-水-烧杯法): 跟方法一类似,把一小团棉花沾水后挤干,沾满糊状氯化钡,放在一倒置的烧杯上,滴加七八滴酒精,点燃。可与棉花+酒精燃烧比较。
(七). 铜离子:
⑴方法一(铁丝-棉花-水法):同钡离子的方法一相同。
⑵方法二(镊子-棉花-酒精法):同钠离子方法。
⑶方法三(烧杯-酒精法):同钾离子的方法一。
⑷方法四(药匙法):同钙离子的方法三。
焰色反应现象要明显,火焰焰色要象彗星尾巴才看得清楚,有的盐的焰色反应之所以盐要加少量水溶解,是为了灼烧时离子随着水分的蒸发而挥发成彗星尾巴状,现象明显;而有的离子灼烧时较易挥发成彗星尾巴状,就不用加水溶解了。
十七 . “五”同辨析
1.同位素 具有相同质子数和不同中子数的同一元素的不同原子.如氢有3种同位素: H、D、T。
2.同素异形体(又称同素异性体) 由同种元素组成性质不同的单质,互称同素异形体.如金刚石与石墨、C60 ,白磷与红磷,O2与O3 ,正交硫与单斜硫。
3.同分异构体 具有相同的分子组成而结构不同的一系列化合物互称同分异构体.同分异构体的种类通常有碳链异构、位置异构、跨类异构(又称*能官**团异构)、几何异构(又称顺反异构)。
※ 你能说出中学阶段的几种跨类异构吗?
4.同系物 结构相似分子组成上相差一个或若干个CH2 原子团的一系列化合物互称同系物。
※ 请总结出两种化合物互称同系物应具备的最基本条件。
5.同量物 通常是指分子量相同的不同物质。
如CO2 与HCHO H2SO4与H3PO4 ,NO与C2H6。十八.化学史知识 1、燃烧规律:凡是除了F,Cl,Br,I,O,N这六种活泼非金属元素的单质及其负价元素的化合物(NH3除外)不能燃烧外,其他非惰性的非金属元素的单质及其化合物都能燃烧,且燃烧的火焰颜色与对应单质燃烧的火焰颜色相同或者相似。
2、气味规律:a、凡是可溶于水或者可跟水反应的气体都具有刺激性难闻气味;如卤化氢
b、凡是有很强的还原性而又溶于水或者能跟水起反应的气体都具有特别难闻的刺激性气味。如H2S
3、等效平衡的两个推论:
a、定温和定容时,在容积不同的容器进行的同一个可逆反应,若满足初始时两容器加入的物质的数量之比等于容器的体积比,则建立的平衡等效。
b、在定温、定容且容积相同的两个容器内进行的同一个可逆的反应,若满足初始时两容器加入的物质的数量成一定的倍数,则数量多的容器内的平衡态势相当于对数量少的容器加压!
4、离子化合物在常态下都呈固态。
5、一般正5价以上的共价化合物(非水化物)在常态下是固态!如:P2O5,SO3